Magna Concursos

Foram encontradas 60 questões.

1585480 Ano: 2006
Disciplina: Engenharia Eletrônica
Banca: NCE-UFRJ
Orgão: AL-MS
Provas:

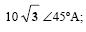
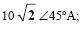
Um circuito trifásico desequilibrado está ligado em triângulo. Se as correntes nas linhas de alimentação "a" e "b" valem, respectivamente, 10∠0º A e 10∠90º A, então a corrente na linha de alimentação "c" vale:

 

Provas

Questão presente nas seguintes provas
1585479 Ano: 2006
Disciplina: Engenharia Eletrônica
Banca: NCE-UFRJ
Orgão: AL-MS
Provas:

As impedâncias de (4+jenunciado 1585479-1)Ω e 10∠60ºΩ estão ligadas em série. A impedância equivalente é:

 

Provas

Questão presente nas seguintes provas
1585478 Ano: 2006
Disciplina: Engenharia Eletrônica
Banca: NCE-UFRJ
Orgão: AL-MS
Provas:

Um indutor de indutância igual a 0,5H é percorrido por uma corrente contínua de 10A. A energia armazenada sob forma de campo magnético é:

 

Provas

Questão presente nas seguintes provas
1585477 Ano: 2006
Disciplina: Engenharia Eletrônica
Banca: NCE-UFRJ
Orgão: AL-MS
Provas:

Quatro resistências de valores 2Ω, 4Ω, 6Ω e 8Ω estão conectadas em paralelo. O valor equivalente ao conjunto é:

 

Provas

Questão presente nas seguintes provas
1585476 Ano: 2006
Disciplina: Engenharia Elétrica
Banca: NCE-UFRJ
Orgão: AL-MS
Provas:

Um condutor de seção reta 2,5 mm² e comprimento 500m apresenta uma resistência de 3,56 Ω. A resistividade desse condutor é igual a:

 

Provas

Questão presente nas seguintes provas
1585405 Ano: 2006
Disciplina: Atualidades e Conhecimentos Gerais
Banca: NCE-UFRJ
Orgão: AL-MS
"O objeto primeiro da reflexão filosófica é o ser humano, visto não como uma entidade abstrata, colocada fora da sua época, mas dentro de situações concretas: é isso que caracteriza a existência humana."

O fragmento acima pertence à corrente filosófica que, após a 2a Guerra Mundial, quando o pesadelo nuclear alimentava a falta de sentido da vida, alcançou grande destaque. O nome dessa corrente e o do seu principal representante são, respectivamente:
 

Provas

Questão presente nas seguintes provas
1585404 Ano: 2006
Disciplina: Atualidades e Conhecimentos Gerais
Banca: NCE-UFRJ
Orgão: AL-MS

A década de 1980 é o marco para o processo da globalização. A partir desse momento o desenvolvimento da informática ligada às telecomunicações facilitou a circulação de mercadorias e de capitais. Ao mesmo tempo a queda das barreiras protecionistas abriam os mercados nacionais e os países em desenvolvimento procuravam atrair maiores fluxos de capitais.

A globalização reúne assim desenvolvimento tecnológico e estratégias econômicas.

Entre essas estratégias temos:

I- as grandes empresas ampliam os investimentos na pesquisa e na concepção de novos produtos;

II- uma empresa concede a outra empresa, em regime de franquia, o direito de utilizar a sua marca;

III- as empresas cortam numerosos postos de trabalho em nome da eficiência, condição indispensável para a concorrência.

É/são correta(s) a(s) alternativa(s):

 

Provas

Questão presente nas seguintes provas
1585403 Ano: 2006
Disciplina: Atualidades e Conhecimentos Gerais
Banca: NCE-UFRJ
Orgão: AL-MS

Dispositivo sólido semicondutor com três terminais, utilizado nos circuitos eletrônicos para fornecer amplificação ou operar como um comutador de alta velocidade. Os primeiros foram desenvolvidos pela primeira vez em 1948. Podem ser utilizados individualmente ou como parte de um circuito integrado.

O dispositivo descrito no texto, que provocou uma revolução tecnológica, é o (a):

 

Provas

Questão presente nas seguintes provas
1585402 Ano: 2006
Disciplina: Atualidades e Conhecimentos Gerais
Banca: NCE-UFRJ
Orgão: AL-MS
O técnico da seleção portuguesa, o brasileiro Felipe Scolari, em sua primeira entrevista na Copa do Mundo, terminou sua fala com a frase "A sorte está lançada!".

A frase foi originalmente dita por:

 

Provas

Questão presente nas seguintes provas
1585401 Ano: 2006
Disciplina: Atualidades e Conhecimentos Gerais
Banca: NCE-UFRJ
Orgão: AL-MS

Ao pensarmos no Brasil contemporâneo, levantamos uma série de situações sociais e espaciais.

Sobre essas situações, é INCORRETO afirmar que:

 

Provas

Questão presente nas seguintes provas