Foram encontradas 60 questões.
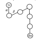
Um dos isótopos de radônio existentes é integrante da série de
decaimento do U-238. Trata-se de um radionuclídeo que decai por
emissão alfa e possui grande importância radiobiológica, pois pode
ser incorporado pelo organismo por inalação, depositando dose
diretamente nos pulmões.
Na série em que esse radônio se encontra, o pai da série é o U-238, que também decai por alfa, transmutando-se sucessivamente até a formação do radônio (vide figura).
Considerando que a linha vertical representa uma transmutação alfa e a linha diagonal uma transmutação beta menos (β- ), assinale a opção que apresenta a melhor representação para o radônio pertencente à série do U-238.
Na série em que esse radônio se encontra, o pai da série é o U-238, que também decai por alfa, transmutando-se sucessivamente até a formação do radônio (vide figura).
Considerando que a linha vertical representa uma transmutação alfa e a linha diagonal uma transmutação beta menos (β- ), assinale a opção que apresenta a melhor representação para o radônio pertencente à série do U-238.
Provas
Questão presente nas seguintes provas
Um especialista em detecção de radiações ionizantes ficou
responsável por investigar amostras que haviam sido analisadas
por espectrometria alfa, beta e gama.
Durante a análise dos resultados, o especialista observou os espectros obtidos e verificou que cada tipo de radiação apresenta uma assinatura característica, conforme ilustrado nos gráficos a seguir.
Os gráficos que melhor representam as espectrometrias alfa, beta e gama, respectivamente, são
Durante a análise dos resultados, o especialista observou os espectros obtidos e verificou que cada tipo de radiação apresenta uma assinatura característica, conforme ilustrado nos gráficos a seguir.
Os gráficos que melhor representam as espectrometrias alfa, beta e gama, respectivamente, são
Provas
Questão presente nas seguintes provas
A figura a seguir apresenta um espectro de raios gama
característico, obtido com um detector HPGe de alta resolução,
para uma fonte radioativa cuja energia de emissão principal é
conhecida por ser maior que 2 MeV.
Considerando as interações da radiação com o detector e seus arredores, assinale a opção que apresenta corretamente as características espectrais associadas aos índices de (a), (b), (c), (d) e (e):
Considerando as interações da radiação com o detector e seus arredores, assinale a opção que apresenta corretamente as características espectrais associadas aos índices de (a), (b), (c), (d) e (e):
Provas
Questão presente nas seguintes provas
O decaimento radioativo é o processo pelo qual núcleos atômicos
instáveis se transformam em núcleos mais estáveis, emitindo
radiação (partículas ou energia). Os tipos mais comuns de
decaimento são alfa (α), beta (β) e gama (γ), cada um alterando o
núcleo de maneira distinta e possuindo diferentes características
de poder de penetração.
Considerando as características e o efeito de cada decaimento no núcleo atômico, assinale a opção correta.
Considerando as características e o efeito de cada decaimento no núcleo atômico, assinale a opção correta.
Provas
Questão presente nas seguintes provas
A escolha do detector de radiação adequado é crucial em física
nuclear aplicada, radioproteção e análise ambiental, pois cada tipo
de detector possui características distintas de resolução
energética, eficiência e necessidade operacional, afetando
diretamente a qualidade da medição.
Deseja-se selecionar o detector mais apropriado para três cenários distintos de medição de radiação ionizante. A tabela a seguir lista três tipos comuns de detectores:
Considerando as características desses detectores, analise os itens a seguir:
I. O Detector a Gás é a melhor escolha para a medição da taxa de dose de radiação em uma área de trabalho, embora não forneça informações detalhadas sobre a energia dos fótons.
II. O Detector cintilador apresenta a melhor resolução energética entre os três, permitindo a separação precisa de picos gama com energias muito próximas.
III. O Detector HPGe é o mais indicado para a detecção de raios gama de alta energia, exigindo, contudo, resfriamento criogênico para alcançar resolução ideal. IV. Para a identificação isotópica de amostras ambientais que contenham diversos radionuclídeos, a alta resolução energética do Detector HPGe é preferível à eficiência intrínseca do Detector NaI(Tl).
Está correto o que se afirma em
Deseja-se selecionar o detector mais apropriado para três cenários distintos de medição de radiação ionizante. A tabela a seguir lista três tipos comuns de detectores:
Considerando as características desses detectores, analise os itens a seguir:
I. O Detector a Gás é a melhor escolha para a medição da taxa de dose de radiação em uma área de trabalho, embora não forneça informações detalhadas sobre a energia dos fótons.
II. O Detector cintilador apresenta a melhor resolução energética entre os três, permitindo a separação precisa de picos gama com energias muito próximas.
III. O Detector HPGe é o mais indicado para a detecção de raios gama de alta energia, exigindo, contudo, resfriamento criogênico para alcançar resolução ideal. IV. Para a identificação isotópica de amostras ambientais que contenham diversos radionuclídeos, a alta resolução energética do Detector HPGe é preferível à eficiência intrínseca do Detector NaI(Tl).
Está correto o que se afirma em
Provas
Questão presente nas seguintes provas
Em ambientes que utilizam fontes de radiação ionizante, a
segurança radiológica é uma responsabilidade compartilhada. Os
Indivíduos Ocupacionalmente Expostos (IOE) desempenham um
papel crucial no cumprimento das normas e na manutenção de um
ambiente de trabalho seguro. O não cumprimento de seus deveres
e obrigações pode comprometer a eficácia das medidas de
proteção e colocar vidas em risco.
De acordo com as obrigações e deveres dos Indivíduos Ocupacionalmente Expostos (IOE) com relação à radioproteção e segurança radiológica, conforme estabelecido em normas de segurança radiológica, assinale a opção incorreta.
De acordo com as obrigações e deveres dos Indivíduos Ocupacionalmente Expostos (IOE) com relação à radioproteção e segurança radiológica, conforme estabelecido em normas de segurança radiológica, assinale a opção incorreta.
Provas
Questão presente nas seguintes provas
As exposições médicas acidentais ou não intencionais
representam situações em que pacientes, embriões, fetos ou
indivíduos são expostos à radiação ionizante de forma não
planejada ou em magnitude superior à prescrita, podendo
comprometer a segurança do procedimento e os princípios de
justificação e otimização da proteção radiológica.
A CNEN NN 3.01 – Diretrizes Básicas de Proteção Radiológica, estabelece que, nesses casos, o titular da instalação é responsável por adotar medidas imediatas para investigar, relatar e corrigir a ocorrência, bem como notificar a CNEN quando houver situações que indiquem falhas significativas no controle radiológico ou risco indevido ao paciente.
Com base nesse dispositivo normativo, assinale a opção correta com relação às responsabilidades dos titulares da instalação.
A CNEN NN 3.01 – Diretrizes Básicas de Proteção Radiológica, estabelece que, nesses casos, o titular da instalação é responsável por adotar medidas imediatas para investigar, relatar e corrigir a ocorrência, bem como notificar a CNEN quando houver situações que indiquem falhas significativas no controle radiológico ou risco indevido ao paciente.
Com base nesse dispositivo normativo, assinale a opção correta com relação às responsabilidades dos titulares da instalação.
Provas
Questão presente nas seguintes provas
A Norma CNEN NN 3.01 – Diretrizes Básicas de Proteção
Radiológica define, em sua Seção V, as funções, responsabilidades
e autoridade do Supervisor de Radioproteção, profissional
essencial para garantir que as práticas envolvendo radiação
ionizante sejam conduzidas de acordo com os princípios de
segurança e proteção radiológica. Cabe a esse profissional
identificar riscos, orientar a equipe quanto a procedimentos
seguros e comunicar, de forma imediata, qualquer irregularidade
que possa comprometer a segurança da instalação, dos
trabalhadores ou do público.
Com base nas disposições dessa norma, analise os itens a seguir:
I. Valendo-se dos requisitos de proteção radiológica, o Supervisor de Radioproteção deve interromper qualquer atividade da instalação a partir do momento em que identificar potencial risco.
II. Não é de responsabilidade do Supervisor de Radioproteção manter o titular da instalação informado sobre eventos relativos à radioproteção e à segurança radiológica, sendo necessário apenas informá-lo sobre alterações na rotina e nos procedimentos dentro da instalação.
III. O Supervisor de Radioproteção deve comunicar ao titular da instalação em momento oportuno irregularidades constatadas com fontes de radiação.
Está incorreto o que se afirma em
Com base nas disposições dessa norma, analise os itens a seguir:
I. Valendo-se dos requisitos de proteção radiológica, o Supervisor de Radioproteção deve interromper qualquer atividade da instalação a partir do momento em que identificar potencial risco.
II. Não é de responsabilidade do Supervisor de Radioproteção manter o titular da instalação informado sobre eventos relativos à radioproteção e à segurança radiológica, sendo necessário apenas informá-lo sobre alterações na rotina e nos procedimentos dentro da instalação.
III. O Supervisor de Radioproteção deve comunicar ao titular da instalação em momento oportuno irregularidades constatadas com fontes de radiação.
Está incorreto o que se afirma em
Provas
Questão presente nas seguintes provas
Durante o processo de licenciamento de uma instalação nuclear, a
Norma CNEN NE-1.04 – Licenciamento de Instalações Nucleares,
estabelece que o titular da instalação deve garantir a existência de
um Plano de Emergência capaz de orientar ações imediatas e
eficazes, em caso de eventos anormais que possam representar
risco à saúde humana, ao meio ambiente ou à integridade da
instalação.
Esse plano deve abranger procedimentos técnicos e administrativos para prevenção, resposta e mitigação de acidentes radiológicos ou nucleares, assegurando que todos os responsáveis saibam como agir para proteger o público, os trabalhadores e as propriedades potencialmente afetados.
Considerando o que dispõe o item 8.5 da Norma CNEN NE-1.04, assinale a opção correta:
Esse plano deve abranger procedimentos técnicos e administrativos para prevenção, resposta e mitigação de acidentes radiológicos ou nucleares, assegurando que todos os responsáveis saibam como agir para proteger o público, os trabalhadores e as propriedades potencialmente afetados.
Considerando o que dispõe o item 8.5 da Norma CNEN NE-1.04, assinale a opção correta:
Provas
Questão presente nas seguintes provas
No processo de licenciamento de uma instalação nuclear, a
Aprovação do Local constitui uma das etapas iniciais previstas na
Norma CNEN NE-1.04. Essa fase tem como objetivo verificar se o
local proposto para implantação da instalação atende aos
requisitos de segurança nuclear e radiológica, considerando
diversos aspectos que possam influenciar a proteção das pessoas
e do meio ambiente.
Com base nas disposições dessa norma, assinale a opção correta sobre o conteúdo e os requisitos relacionados ao Relatório do Local a ser submetido à CNEN para análise:
Com base nas disposições dessa norma, assinale a opção correta sobre o conteúdo e os requisitos relacionados ao Relatório do Local a ser submetido à CNEN para análise:
Provas
Questão presente nas seguintes provas
Cadernos
Caderno Container