Foram encontradas 60 questões.
A Cetip S.A. é uma companhia de capital aberto e é reconhecida como a integradora do mercado financeiro.
A companhia presta serviços para mais de 15 mil instituições financeiras.
A Cetip oferece serviços de
A companhia presta serviços para mais de 15 mil instituições financeiras.
A Cetip oferece serviços de
Provas
Questão presente nas seguintes provas
Tuca é universitária e pretende tornar-se empreendedora. Ela está inaugurando uma loja para comercializar quinquilharias procedentes do exterior, utilizando, como capital inicial, numerário proveniente de doação do seu genitor, próspero economista que enriqueceu no mercado financeiro internacional. Como o aporte é vultoso diante da renda da empresária iniciante, é realizado um contrato de doação devidamente registrado. Ao receber o depósito, o gerente do Banco Bom S/A indaga da universitária a origem do mesmo, sendo informado da doação efetuada e sendo-lhe apresentado o documento pertinente.
Nesse caso, à luz da legislação pertinente, deve ocorrer a(o)
Nesse caso, à luz da legislação pertinente, deve ocorrer a(o)
Provas
Questão presente nas seguintes provas
Os planos de seguro têm o objetivo de gerar proteção patrimonial às pessoas físicas ou jurídicas.
Em um seguro de veículo, se o segurado trocar de carro ou incluir algum item em sua apólice, ele deverá solicitar a seguradora um
Em um seguro de veículo, se o segurado trocar de carro ou incluir algum item em sua apólice, ele deverá solicitar a seguradora um
Provas
Questão presente nas seguintes provas

Para tal, concorrem algumas características, EXCETO
Provas
Questão presente nas seguintes provas
A Tabela a seguir apresenta a distribuição dos clientes de uma determinada agência bancária classificados segundo o perfil do investidor em: conservadores, moderados e arrojados.

Considere as medidas estatísticas: média, moda, mediana, variância e desvio padrão.
Para análise da classificação dos clientes, é possível determinar a

Considere as medidas estatísticas: média, moda, mediana, variância e desvio padrão.
Para análise da classificação dos clientes, é possível determinar a
Provas
Questão presente nas seguintes provas
Os comprimentos de uma mesa e de uma bancada são, respectivamente, iguais a 204 centímetros e 7,5 metros.
A razão entre o comprimento da mesa e o comprimento da bancada, quando ambos são escritos em uma mesma unidade, é
A razão entre o comprimento da mesa e o comprimento da bancada, quando ambos são escritos em uma mesma unidade, é
Provas
Questão presente nas seguintes provas
Suponha que a taxa de câmbio entre reais (R$) e dólares (US$) seja de 2 R$/US$, e a taxa de câmbio entre libras (£) e dólares seja de 0,50 £/US$. Deduz-se que a taxa de câmbio entre reais e libras, em R$/£, é de
Provas
Questão presente nas seguintes provas
Sabe-se que x e y são números reais tais que y = 53x .
Conclui-se que x é igual a
Conclui-se que x é igual a
Provas
Questão presente nas seguintes provas
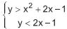
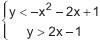
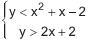
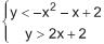
A Figura apresenta uma região do plano cartesiano, destacada na cor cinza, que é limitada por uma reta e por uma parábola.
A região em destaque é constituída pelos pontos (x,y) cujas coordenadas satisfazem o seguinte sistema de inequações:

A região em destaque é constituída pelos pontos (x,y) cujas coordenadas satisfazem o seguinte sistema de inequações:

Provas
Questão presente nas seguintes provas
A sequência
, n ∈ N, é uma progressão aritmética cujo primeiro termo é
= -2 e cuja razão é r = 3. Uma progressão geométrica,
, é obtida a partir da primeira, por meio da relação
=
, n ? N.
Se
e q indicam o primeiro termo e a razão dessa progressão geométrica, então
vale
, n ∈ N, é uma progressão aritmética cujo primeiro termo é
= -2 e cuja razão é r = 3. Uma progressão geométrica,
, é obtida a partir da primeira, por meio da relação
=
, n ? N. Se
e q indicam o primeiro termo e a razão dessa progressão geométrica, então
valeProvas
Questão presente nas seguintes provas
Cadernos
Caderno Container