Foram encontradas 70 questões.
A respeito de manutenção de equipamentos, analise as
afirmativas a seguir.
I. A manutenção preventiva implica o monitoramento do aparelho, acompanhando seu desempenho sob o ponto de vista funcional.
II. A manutenção preditiva tem como objetivo evitar quebras e o aparecimento de falhas em máquinas e componentes, sendo realizada de forma periódica.
III. A manutenção corretiva aborda os problemas das máquinas somente após a falha ter ocorrido.
Está correto o que se afirma em
I. A manutenção preventiva implica o monitoramento do aparelho, acompanhando seu desempenho sob o ponto de vista funcional.
II. A manutenção preditiva tem como objetivo evitar quebras e o aparecimento de falhas em máquinas e componentes, sendo realizada de forma periódica.
III. A manutenção corretiva aborda os problemas das máquinas somente após a falha ter ocorrido.
Está correto o que se afirma em
Provas
Questão presente nas seguintes provas
Considere o seguinte multímetro, cuja chave seletora permite
escolher a função de medição do equipamento (funções I até
VIII), além de possuir quatro terminais (terminais 1 até 4) para
conexão do par de pontas de prova. 
Adaptado de FLUKE.COM Considerando que esse multímetro será utilizado para verificar o nível de tensão de uma tomada monofásica 127V, as duas pontas de prova e a chave seletora devem estar, respectivamente, nas posições

Adaptado de FLUKE.COM Considerando que esse multímetro será utilizado para verificar o nível de tensão de uma tomada monofásica 127V, as duas pontas de prova e a chave seletora devem estar, respectivamente, nas posições
Provas
Questão presente nas seguintes provas
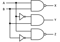
O circuito lógico a seguir é composto de duas portas inversoras,
uma porta E e duas portas NÃO E. Os sinais de entrada digitais
são A e B e podem assumir os valores 0 ou 1. Os três sinais
digitais de saída são X, Y e Z.

Duas saídas XYZ possíveis do circuito são

Duas saídas XYZ possíveis do circuito são
Provas
Questão presente nas seguintes provas
Um equipamento funciona com uma tensão de 20V e solicita 10A
da fonte de alimentação. Existe à disposição 6 baterias de 10V
que suportam no máximo uma potência de 50W.
A associação de baterias para atender à alimentação deste equipamento, utilizando um número mínimo de baterias, deve ser de
A associação de baterias para atender à alimentação deste equipamento, utilizando um número mínimo de baterias, deve ser de
Provas
Questão presente nas seguintes provas
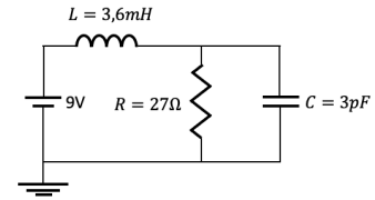
Considere o circuito a seguir, no estado estacionário, composto
por uma bateria de 9V, um indutor L, um resistor R e um
capacitor C.

A energia elétrica armazenada no capacitor e no indutor são, respectivamente, iguais a

A energia elétrica armazenada no capacitor e no indutor são, respectivamente, iguais a
Provas
Questão presente nas seguintes provas
Um determinado caixa eletrônico, alimentado por um circuito
monofásico de 220V, opera a uma potência aproximadamente
constante de 176W.
Considerando que o caixa eletrônico é uma carga totalmente resistiva, sua resistência elétrica equivalente é, em ohms,
Considerando que o caixa eletrônico é uma carga totalmente resistiva, sua resistência elétrica equivalente é, em ohms,
Provas
Questão presente nas seguintes provas
Assinale a opção que indica o tipo de fechadura eletrônica que
possui um leitor óptico que reconhece a impressão digital de
pessoas autorizadas a abri-la.
Provas
Questão presente nas seguintes provas
A equipe encarregada de desenvolver o projeto do circuito
fechado de TV de uma agência bancária quer empregar uma
solução que não necessite de cabeamento conectando as
câmeras, ou seja, serão usadas câmeras IP.
Assinale a opção que indica o tipo de sistema de armazenamento a ser empregado na gravação das imagens.
Assinale a opção que indica o tipo de sistema de armazenamento a ser empregado na gravação das imagens.
Provas
Questão presente nas seguintes provas
- EletrotécnicaInstalações Elétricas em Eletricidade
- EletrônicaLuminotécnica em Eletrônica
- Fator de Potência
Os 10 terminais de auto-atendimento de uma agência bancária
têm um consumo nominal de 880W e são alimentados por uma
UPS (Uninterruptible Power Supply). A UPS possui tensão nominal
de entrada e saída igual a 220V, fator de potência unitário e
sistema de baterias com capacidade igual a 9Ah.
O tempo máximo de operação ininterrupto e simultâneo dos 10 terminais de autoatendimento, em caso de queda do fornecimento de energia elétrica, será de
O tempo máximo de operação ininterrupto e simultâneo dos 10 terminais de autoatendimento, em caso de queda do fornecimento de energia elétrica, será de
Provas
Questão presente nas seguintes provas
A figura a seguir apresenta parte de um projeto elétrico de uma
instalação elétrica hipotética. Acidentalmente, um pouco de café
caiu sobre a prancha manchando-a na parte do projeto
identificada como “mancha”. 
Assinale a opção que indica a correta representação dos condutores que passam pelo trecho manchado.

Assinale a opção que indica a correta representação dos condutores que passam pelo trecho manchado.
Provas
Questão presente nas seguintes provas
Cadernos
Caderno Container