Foram encontradas 50 questões.
Para uma instalação de terminal de petróleo, deseja-se saber comparativamente quanto será a seção milimétrica de condutor de alumínio, em relação com a de condutor de cobre, tomada pela expressão
.
Considerando iguais a resistência do cobre e a do alumínio, assim como os comprimentos dos condutores, e que a resistividade do alumínio é 0,0280 Ω.m e a do cobre é 0,0155 Ω.m, qual é a razão entre a seção de condutor de alumínio e a do condutor de cobre,
?
. Considerando iguais a resistência do cobre e a do alumínio, assim como os comprimentos dos condutores, e que a resistividade do alumínio é 0,0280 Ω.m e a do cobre é 0,0155 Ω.m, qual é a razão entre a seção de condutor de alumínio e a do condutor de cobre,
?Provas
Questão presente nas seguintes provas
- EletromagnetismoElétricaCircuitos Elétricos Especiais: Leis de Kirchhoff e Ponte de Wheatstone
- EletromagnetismoElétricaEletricidade

Na planta de instalação elétrica do ambiente mostrado acima, os condutores elétricos que passam nos eletrodutos nos trechos W e Y, respectivamente, permitindo comandar corretamente a lâmpada instalada na caixa de passagem (1) através dos interruptores paralelos A e B, são:
Provas
Questão presente nas seguintes provas
- EletromagnetismoElétricaCircuitos Elétricos Especiais: Leis de Kirchhoff e Ponte de Wheatstone
- EletromagnetismoElétricaEletricidade
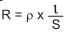
Considere o circuito abaixo onde a tensão nominal da lâmpada L é V.

A posição da chave S que ocasionará o acendimento da lâmpada L é

A posição da chave S que ocasionará o acendimento da lâmpada L é
Provas
Questão presente nas seguintes provas
Um sistema termodinâmico passa por uma transformação reversível MN, como mostra o diagrama pressão versus volume abaixo.

Se, durante essa transformação, o sistema recebeu 900 J de calor, a variação aproximada da sua energia interna foi de

Se, durante essa transformação, o sistema recebeu 900 J de calor, a variação aproximada da sua energia interna foi de
Provas
Questão presente nas seguintes provas
Uma mola elástica e linear apresenta uma deformação de 1,0 cm quando sujeita a uma força de 100 N. Estando esta mola submetida a uma força de 1,2 kN, sua deformação, em cm, será de
Provas
Questão presente nas seguintes provas
Um paraquedista de 70 kg está em queda quando aciona o paraquedas. Isso faz com que sua velocidade diminua de 60 m/s para 40 m/s em um intervalo de tempo de 10 s. Se a aceleração do paraquedista é constante, qual é, aproximadamente, em N, o módulo da resultante das forças que atuam sobre ele durante esses 10 s?
Provas
Questão presente nas seguintes provas
- EletromagnetismoElétricaEletricidade
- EletromagnetismoElétricaEletrodinâmica
- OndulatóriaOndas e Propriedades Ondulatórias
Uma tensão senoidal (CA) é composta de ciclos positivos e negativos, possuindo valor médio igual a zero. Quando retificada (CC) pode fornecer valores médios positivos ou negativos necessários para alimentar adequadamente a carga.
Um circuito retificador de onda completa, com filtro capacitivo, usando diodos semicondutores é empregado para
Um circuito retificador de onda completa, com filtro capacitivo, usando diodos semicondutores é empregado para
Provas
Questão presente nas seguintes provas
Reações que ocorrem com transferência de elétrons são denominadas reações de oxirredução.
Um exemplo de reação de oxirredução é
Um exemplo de reação de oxirredução é
Provas
Questão presente nas seguintes provas
O gás liquefeito de petróleo, conhecido como GLP, é constituído basicamente de C3 H8 e C4 H10 , respectivamente, com as seguintes fórmulas estruturais planas:

Esses dois compostos

Esses dois compostos
Provas
Questão presente nas seguintes provas
Considere a reação de combustão completa de 285 g de octano com oxigênio em excesso, representada pela equação abaixo não balanceada.
C 8 H18(g) + O2(g) → CO2(g) + H2 O(l)
Se o rendimento é de 100%, a massa de gás carbônico produzida, em gramas, é, aproximadamente, igual a
Dado
M (C 8H18) = 114 g/mol
M (CO 2 ) = 44 g/mol
C 8 H18(g) + O2(g) → CO2(g) + H2 O(l)
Se o rendimento é de 100%, a massa de gás carbônico produzida, em gramas, é, aproximadamente, igual a
Dado
M (C 8H18) = 114 g/mol
M (CO 2 ) = 44 g/mol
Provas
Questão presente nas seguintes provas
Cadernos
Caderno Container