Foram encontradas 150 questões.
A combinatória é um ramo da matemática que trata da contagem ou da determinação do número de possibilidades lógicas de algum evento. A respeito desse tema, julgue os itens subseqüentes.
Considere a seguinte situação hipotética.
Um trabalhador dispõe de 3 linhas de ônibus para ir de sua casa até o terminal de ônibus no centro da cidade e, a partir daí, ele dispõe de 5 linhas de ônibus para chegar ao seu local de trabalho.
Nessa situação, considerando-se que o trabalhador possua as mesmas opções para fazer o percurso de retorno do trabalho para casa e entendendo-se um trajeto de ida e volta ao trabalho desse trabalhador como uma escolha de quatro linhas de ônibus — de sua casa ao centro, do centro ao trabalho, do trabalho ao centro e do centro de volta para casa —, então o trabalhador dispõe de, no máximo, 30 escolhas distintas para o seu trajeto de ida e volta ao trabalho.
Provas
A combinatória é um ramo da matemática que trata da contagem ou da determinação do número de possibilidades lógicas de algum evento. A respeito desse tema, julgue os itens subseqüentes.
Considere que 8 brindes diferentes serão entregues a três convidados especiais de um evento. Um dos convidados receberá 4 brindes e os outros dois, 2 brindes cada um. O número de maneiras distintas de se escolher os brindes que serão entregues aos convidados é superior a !$ \dfrac{8!}{4!} !$.
Provas
A combinatória é um ramo da matemática que trata da contagem ou da determinação do número de possibilidades lógicas de algum evento. A respeito desse tema, julgue os itens subseqüentes.
Com três algarismos escolhidos aleatoriamente entre os algarismos de 1 a 9, pode-se formar, no máximo, seis números distintos que sejam maiores que 110 e menores que 1.000.
Provas
A combinatória é um ramo da matemática que trata da contagem ou da determinação do número de possibilidades lógicas de algum evento. A respeito desse tema, julgue os itens subseqüentes.
Considere que as senhas dos clientes de um banco têm 8 dígitos, sem repetições, formadas pelos algarismos de 0 a 9. Nessa situação, o número máximo de senhas que podem ser cadastradas nesse banco é inferior a 2 × 106.
Provas
A combinatória é um ramo da matemática que trata da contagem ou da determinação do número de possibilidades lógicas de algum evento. A respeito desse tema, julgue os itens subseqüentes.
Considere a seguinte situação hipotética.
Para oferecer a seus empregados cursos de inglês e de espanhol, uma empresa contratou 4 professores americanos e 3 espanhóis.
Nessa situação, sabendo que cada funcionário fará exatamente um curso de cada língua estrangeira, um determinado empregado disporá de exatamente 7 duplas distintas de professores para escolher aqueles com os quais fará os seus cursos.
Provas
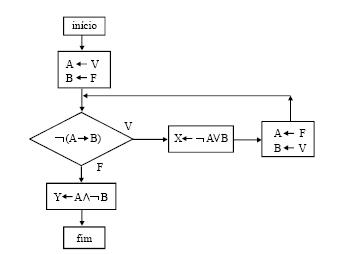
O fluxograma abaixo contém uma seqüência finita de instruções a serem executadas na ordem em que são apresentadas, começando-se da posição designada por "início" e seguindo-se as setas. Dentro das formas retangulares, a seta para a esquerda indica que o valor escrito ou obtido à direita é atribuído à variável à esquerda. A expressão no losango é avaliada e, quando resultar verdadeira, prossegue-se na direção indicada por V, e, quando for falsa, prossegue-se na direção indicada por F. Se P e Q representam proposições que podem ter valorações V ou F, então as expressões ¬P, P→Q, P
Q e P
Q, que são lidas "não P", "P implica Q", "P ou Q" e "P e Q", respectivamente, também são proposições e podem ter valorações V ou F conforme as valorações dadas a P e a Q.

A partir do texto e do fluxograma precedente, em que A, B, X e Y são proposições quaisquer, siga as instruções do fluxograma e julgue os itens a seguir.
Se as valorações iniciais de A e de B fossem, respectivamente, F e F, então a valoração de Y seria também F.
Provas
O fluxograma abaixo contém uma seqüência finita de instruções a serem executadas na ordem em que são apresentadas, começando-se da posição designada por "início" e seguindo-se as setas. Dentro das formas retangulares, a seta para a esquerda indica que o valor escrito ou obtido à direita é atribuído à variável à esquerda. A expressão no losango é avaliada e, quando resultar verdadeira, prossegue-se na direção indicada por V, e, quando for falsa, prossegue-se na direção indicada por F. Se P e Q representam proposições que podem ter valorações V ou F, então as expressões ¬P, P→Q, P
Q e P
Q, que são lidas "não P", "P implica Q", "P ou Q" e "P e Q", respectivamente, também são proposições e podem ter valorações V ou F conforme as valorações dadas a P e a Q.

A partir do texto e do fluxograma precedente, em que A, B, X e Y são proposições quaisquer, siga as instruções do fluxograma e julgue os itens a seguir.
A proposição ¬(A→B) tem as mesmas valorações V e F que a proposição (¬A)→(¬B).
Provas
O fluxograma abaixo contém uma seqüência finita de instruções a serem executadas na ordem em que são apresentadas, começando-se da posição designada por "início" e seguindo-se as setas. Dentro das formas retangulares, a seta para a esquerda indica que o valor escrito ou obtido à direita é atribuído à variável à esquerda. A expressão no losango é avaliada e, quando resultar verdadeira, prossegue-se na direção indicada por V, e, quando for falsa, prossegue-se na direção indicada por F. Se P e Q representam proposições que podem ter valorações V ou F, então as expressões ¬P, P→Q, P
Q e P
Q, que são lidas "não P", "P implica Q", "P ou Q" e "P e Q", respectivamente, também são proposições e podem ter valorações V ou F conforme as valorações dadas a P e a Q.

A partir do texto e do fluxograma precedente, em que A, B, X e Y são proposições quaisquer, siga as instruções do fluxograma e julgue os itens a seguir.
A valoração atribuída a X será igual à valoração de A→B.
Provas

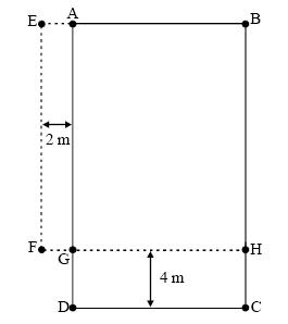
Ao adquirir um apartamento ainda em construção, o comprador solicitou à construtora a alteração das dimensões da sala. Conforme a figura acima, o retângulo ABCD, que corresponde a uma sala de 48 m2, perderia a área do retângulo GHCD, com 4 m de largura, e ganharia a área do retângulo EAGF, com 2 m de largura. A nova sala, EBHF, ficaria com a mesma área da sala original.
A respeito dessa situação, julgue os itens que se seguem.
O retângulo GHCD, que foi retirado da sala original, tinha comprimento igual a 6 m e largura igual a 4 m.
Provas

Ao adquirir um apartamento ainda em construção, o comprador solicitou à construtora a alteração das dimensões da sala. Conforme a figura acima, o retângulo ABCD, que corresponde a uma sala de 48 m2, perderia a área do retângulo GHCD, com 4 m de largura, e ganharia a área do retângulo EAGF, com 2 m de largura. A nova sala, EBHF, ficaria com a mesma área da sala original.
A respeito dessa situação, julgue os itens que se seguem.
O perímetro da nova sala, EBHF, é superior a 26 m.
Provas
Caderno Container