Foram encontradas 40 questões.
Analise as afirmações abaixo sobre a paridade de númerosinteiros.
I- O produto de dois números inteirosiguais é sempre maior ou igual a zero.
II- Para o produto de dois números inteiros resultarem em zero, os dois devem ser iguais a zero.
III- O quociente entre dois números inteiros não nulos é inteiro, quando o primeiro número é múltiplo do segundo.
É CORRETO o que seafirma apenas em:
Provas

Provas
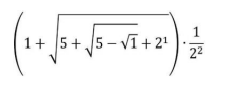
Marque a alternativa em que encontra-se o resultado da seguinte expressão numérica:

Provas

Provas
Provas
Provas
Provas
Provas
Analise as afirmações a seguir.
I- Um paralelogramo é um quadrilátero em que todos os seus lados são congruentes.
II- Todo paralelogramo é um trapézio, mas nem todo trapézio é um paralelogramo.
III- Em qualquer quadrilátero, cada ângulo externo é o suplemento do ângulo interno adjacente.
É CORRETO o que se afirma apenas em:
Provas
Provas
Caderno Container