Magna Concursos

Foram encontradas 55 questões.

2468095 Ano: 2013
Disciplina: Espanhol (Língua Espanhola)
Banca: FUMARC
Orgão: CBM-MG
Provas:
Enunciado 3157995-1
Disponible en: http://www.lanacion.com.ar/humor. Acceso en: 07 dic. 2013.
De acuerdo a la tira, se nota que chatear significa
 

Provas

Questão presente nas seguintes provas
2467669 Ano: 2013
Disciplina: Química
Banca: FUMARC
Orgão: CBM-MG
Provas:
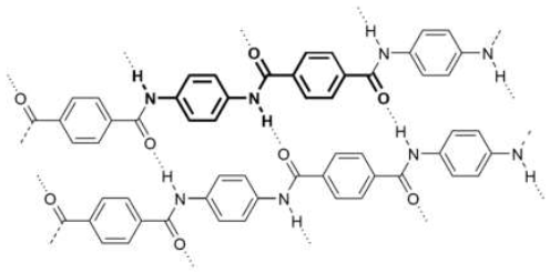
A Aramida é o nome de uma fibra sintética com alta resistência. É comercializada com o nome comercial de “Kevlar”. É usada na fabricação de cintos de segurança, cordas, coletes à prova de balas, raquetes de tênis, entre outros. A fórmula estrutural da Aramida é
Enunciado 3147470-1
Sobre essa substância e sua estrutura, é CORRETO afirmar que
 

Provas

Questão presente nas seguintes provas
2466498 Ano: 2013
Disciplina: História
Banca: FUMARC
Orgão: CBM-MG
Provas:
A reação ao movimento transgressor veio com as seguintes medidas:
1ª) O latim continuou sendo a língua oficial;
2ª) Criação de catecismos e seminários para a formação de sacerdotes;
3ª) As doutrinas, os dogmas e os ritos contestados foram rigorosamente mantidos e reafirmados;
4ª) Criação da Companhia de Jesus;
5ª) Índex Librorum Proibitorum ou Índex;
6ª) Inquisição.
Essas medidas foram produzidas ao longo do século XVI e tiveram um grande impacto no mundo religioso europeu. Os seis itens acima são frutos da
 

Provas

Questão presente nas seguintes provas
2465589 Ano: 2013
Disciplina: Direito Constitucional
Banca: FUMARC
Orgão: CBM-MG
Provas:

Dispõe o artigo 37, I da Constituição da República Federativa do Brasil que “os cargos, empregos e funções públicas são acessíveis aos brasileiros que preencham os requisitos estabelecidos em lei, assim como aos estrangeiros, na forma da Lei”. Não havendo Lei que regulamente o presente dispositivo constitucional, o estrangeiro que for privado de participar de um concurso público poderá recorrer ao seguinte instrumento ou “remédio constitucional”:

 

Provas

Questão presente nas seguintes provas
2465489 Ano: 2013
Disciplina: Química
Banca: FUMARC
Orgão: CBM-MG
Provas:

Energia de Ionização é a energia mínima necessária para se arrancar um elétron de um átomo que se encontra no estado fundamental, gasoso e isolado. As tabelas abaixo apresentam o raio atômico e a primeira energia de ionização de alguns elementos da Tabela Periódica.

Enunciado 3022787-1

http://tomdaquimica.zip.net/arch2010-12-26_2011-01-01.html

A explicação para o fato de a primeira energia de ionização do elemento sódio ser menor do que a do elemento fósforo é:

 

Provas

Questão presente nas seguintes provas
2465455 Ano: 2013
Disciplina: Inglês (Língua Inglesa)
Banca: FUMARC
Orgão: CBM-MG
Provas:
LIFE COACHING - YOU KNOW WHAT YOUR PROBLEM IS?
Derek Workman
These days it seems that there's always someone there to pick you up, help you out and give your life a new start.
You can find someone to choose your clothes for you, or sort out your wardrobe, if you already have enough; there's someone to arrange your dinner parties and someone else who will look after your diary, or if life just seems to be too much trouble to do anything at all, you can find a psychotherapist to help you deal with your problems.
Fine as it is to have all this help at hand, if we look closely at ourselves, we can begin to see that we don't actually need all these people to look after us. To help us do this is the role of the Life Coach - someone who won't judge us, who won't tell us what to do and is there to support us in those nervous life decisions that we all have to make.
Mike Lewis was a self-confessed computer geek in his hometown of Southampton, England, but rose high up the corporate ladder in California. He now lives in a small coastal town in Spain where he acts as a Life Coach to clients in Europe, America, India and Australia, chatting with them on a regular basis by telephone. But why should we need anybody to help us along?
A life coach is basically a support system for people who want to make some change in their life. The significant thing about personal development is this: there's relatively few people that I've ever met that don't want to get on in life, but it's hard to get on if you try and find all this stimulus from the outside. The difference between coaching and other forms of personal development is primarily this: with life coaching, nobody tells you what to do, nobody tells you who you should be, nobody tries to change you 'cause we're all perfect as we are! What a life coach does is encourage you to find the answers to all life's problems from within, not from without.
Fonte: Revista Speak UP, edição 201, fev. 2004.
All the statements below are characteristics of Life Coach, EXCEPT:
 

Provas

Questão presente nas seguintes provas
2465424 Ano: 2013
Disciplina: Biologia
Banca: FUMARC
Orgão: CBM-MG
Provas:
Analise o cartum:
Enunciado 3020694-1
Fonte: http://beraltocartum.blogspot.com.br/2011/01/cadeia-alimentar.html.
Acesso em: 12/01/2013
A resposta CORRETA à pergunta feita é:
 

Provas

Questão presente nas seguintes provas
2465419 Ano: 2013
Disciplina: Física
Banca: FUMARC
Orgão: CBM-MG
Provas:
Dois jovens estudantes decidem comparar um circuito em série com um circuito em paralelo. Para isso, eles pegaram 4 lâmpadas idênticas. Elas foram ligadas da maneira mostrada na figura.
Enunciado 3020562-1
Em relação aos dois circuitos montados, eles fizeram as seguintes afirmações:
I - A corrente total no circuito 1 é duas vezes maior que a corrente total no circuito 2.
II - A potência desenvolvida no circuito 2 é quatro vezes maior que a potência desenvolvida no circuito 1.
III - Todas as 4 lâmpadas estão submetidas à mesma tensão: 127 V.
Está CORRETO apenas o que se afirma em:
 

Provas

Questão presente nas seguintes provas
2460545 Ano: 2013
Disciplina: Biologia
Banca: FUMARC
Orgão: CBM-MG
Provas:

A ‘lagartixa-satânica-cauda-de-folha’ é originária de Madagascar. Usa as folhas secas para se camuflar… Consegue percebê-la?

Enunciado 2931088-1

Fonte: dehttp://www.not1.xpg.com.br/camuflagem-animal-melhores-fotos-voce-e-capaz-de-achar-informacoes/#.

Acesso em: 06/08/2013 (adaptado)

A ÚNICA alternativa que considera uma explicação Lamarckista para esse evento é:

 

Provas

Questão presente nas seguintes provas
2460485 Ano: 2013
Disciplina: Português
Banca: FUMARC
Orgão: CBM-MG
Provas:
SEM DÚVIDAS?
Rosely Sayão
Um professor universitário na área da educação disse uma frase curta que pode nos fazer refletir muito: "A possibilidade de buscar qualquer informação no Google acabou com a dúvida.”.
Realmente, conviver com a dúvida tem sido cada vez mais difícil. Quanto mais se amplia o leque de escolhas em qualquer atividade da vida, menos dúvidas queremos ter. Queremos fazer a escolha certa, para a qual não restaria dúvida alguma. Não mais nos contentamos com a melhor escolha possível ou com uma escolha suficientemente boa. Difícil, senão impossível, viver dessa maneira, não é verdade?
Esse estilo de viver complica bastante a escolha do curso universitário, tarefa na qual muitos jovens que frequentam o ensino médio estão implicados. Criamos uma série de mitos em torno da escolha da profissão que os jovens devem fazer. "É uma escolha muito séria para ser feita nessa idade" ou "Eles não têm maturidade para escolher o que farão no resto da vida" são frases que expressam algumas de nossas ideias a esse respeito.
Esquecemos que nós fizemos tal escolha com essa mesma idade? E parece que não foi uma tarefa tão complicada como temos tentado fazer com que seja na atualidade. Será porque as escolhas eram mais restritas, será que não tínhamos tanto compromisso com o êxito, com a certeza? Como as escolhas eram feitas?
Muitas escolhas profissionais foram herdadas. Conhecemos a tradição de os filhos continuarem o trabalho dos pais. Conhecemos também pessoas que fizeram escolhas por oposição aos pais. Para muitos, a escolha de herança positiva ou negativa dos pais deu certo; para outros, não deu. Mas seria diferente se fosse outro o critério usado?
Outras escolhas eram feitas com base em razões subjetivas. Uma jornalista me disse que desde criança quis fazer jornalismo, talvez por influência paterna. Não, o pai dela não era jornalista e sim leitor voraz de jornal. Isso pode apontar para escolhas feitas por influências inconscientes para as quais encontramos razões objetivas mais tarde.
De qualquer maneira, a família do jovem era a maior fonte de influências, para o bem ou para o mal, na hora de tal decisão. Hoje, a escola influencia mais do que a família. É que, pouco a pouco, a família passou a entender que deveria dar mais liberdade aos filhos também na hora de ele fazer a escolha do vestibular. Mas, para que o jovem pudesse desfrutar de tal "liberdade", ele precisaria de um apoio. E quem daria tal apoio?
A escola, é claro. Difícil, hoje, encontrar uma instituição escolar que não ofereça um trabalho de orientação profissional. E há ofertas para todo o tipo de gosto ou anseio. Aliás, tal trabalho passou a ser mais um dos itens que os pais consideram na hora de escolher a escola para o filho.
Boa parte desses trabalhos parte de um princípio: o de que a oferta de informações, de mercado ou de conhecimentos técnicos ao alunado tem o potencial de resolver a questão da angústia do jovem no momento da escolha. Os altos índices de desistência e de troca de curso ainda no primeiro ano da universidade, no entanto, contradizem tal conceito.
Talvez seja necessário que famílias e escolas revejam a parte que lhes cabe nesse processo.
Disponível em: http://www1.folha.uol.com.br/colunas/roselysayao/
2013/09/1335977-sem-duvidas.shtml (Adaptado)
Em “Talvez seja necessário que famílias e escolas revejam a parte que lhes cabe nesse processo.”, os verbos destacados estão flexionados no
 

Provas

Questão presente nas seguintes provas