Foram encontradas 60 questões.
Acerca dos contratos de adesão destinados a regular relações de consumo, são feitas as afirmações a seguir.
I - As cláusulas contratuais serão interpretadas de maneira mais favorável ao consumidor.
II - As cláusulas contratuais que exonerem a responsabilidade do fornecedor por vícios de qualquer natureza são nulas de pleno direito.
III - As cláusulas contratuais que implicarem limitação de direito do consumidor deverão ser redigidas com destaque, permitindo sua imediata e fácil compreensão.
IV - As cláusulas contratuais que estabeleçam inversão do ônus da prova em prejuízo do consumidor são nulas de pleno direito.
Estão corretas as afirmativas
I - As cláusulas contratuais serão interpretadas de maneira mais favorável ao consumidor.
II - As cláusulas contratuais que exonerem a responsabilidade do fornecedor por vícios de qualquer natureza são nulas de pleno direito.
III - As cláusulas contratuais que implicarem limitação de direito do consumidor deverão ser redigidas com destaque, permitindo sua imediata e fácil compreensão.
IV - As cláusulas contratuais que estabeleçam inversão do ônus da prova em prejuízo do consumidor são nulas de pleno direito.
Estão corretas as afirmativas
Provas
Questão presente nas seguintes provas
- Qualidade no Atendimento ao Público
- Atendimento de Qualidade
- Atendimento
- Princípios do Atendimento
- Técnicas de Vendas
- Noções de Marketing de Relacionamento
- Atendimento Bancário
- Técnicas de Vendas de Produtos e Serviços Financeiros no Setor Bancário
Em um treinamento interno para a equipe de atendimento de uma agência bancária, um consultor afirmou que uma etapa importante na realização de uma venda é a pré-abordagem, que consiste na(o)
Provas
Questão presente nas seguintes provas
- Atendimento
- Técnicas de Vendas
- Noções de Marketing de Relacionamento
- Marketing em Empresas de Serviço
- Produto, Preço, Praça e Promoção
- Atendimento Bancário
- Técnicas de Vendas de Produtos e Serviços Financeiros no Setor Bancário
São exemplos de ferramentas de promoção de vendas no setor bancário:
Provas
Questão presente nas seguintes provas
- Atendimento
- Satisfação, Valor e Retenção de Clientes
- Técnicas de Vendas
- Satisfação e Retenção de Clientes
- Noções de Marketing de Relacionamento
- Marketing em Empresas de Serviço
- Valor Percebido Pelo Cliente
- Atendimento Bancário
- Técnicas de Vendas de Produtos e Serviços Financeiros no Setor Bancário
Um grande Banco brasileiro acaba de lançar um pacote de produtos financeiros para atender a jovens de alta renda. Nas campanhas internas de orientação à equipe de vendas e atendimento, o público-alvo é descrito da seguinte forma:
. idade entre 25 e 39 anos, alta renda, profissionais de nível superior;
. residentes em grandes centros no eixo Norte/Nordeste;
. apreciam alimentos finos, gostam de viagens ao exterior e participam de eventos ligados a arte e cultura.
Os três níveis de segmentação do mercado consumidor, respectivamente, são:
. idade entre 25 e 39 anos, alta renda, profissionais de nível superior;
. residentes em grandes centros no eixo Norte/Nordeste;
. apreciam alimentos finos, gostam de viagens ao exterior e participam de eventos ligados a arte e cultura.
Os três níveis de segmentação do mercado consumidor, respectivamente, são:
Provas
Questão presente nas seguintes provas
Para responder às questões de nos 1 e 2, utilize os
dados da tabela abaixo, que apresenta as freqüências
acumuladas das idades de 20 jovens entre 14 e 20 anos.

Um desses jovens será escolhido ao acaso. Qual a probabilidade de que o jovem escolhido tenha menos de 18 anos, sabendo que esse jovem terá 16 anos ou mais?dados da tabela abaixo, que apresenta as freqüências
acumuladas das idades de 20 jovens entre 14 e 20 anos.

Provas
Questão presente nas seguintes provas

Qual é o 70º termo da seqüência de números (an) definida acima?
Provas
Questão presente nas seguintes provas
Para responder às questões de nos 1 e 2, utilize os
dados da tabela abaixo, que apresenta as freqüências
acumuladas das idades de 20 jovens entre 14 e 20 anos.

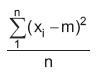
Uma das medidas de dispersão é a variância populacional, que é calculada por dados da tabela abaixo, que apresenta as freqüências
acumuladas das idades de 20 jovens entre 14 e 20 anos.

.Sabendo-se que m é a média aritmética dessas idades, qual a variância das idades na população formada pelos 20 jovens?Provas
Questão presente nas seguintes provas
Quantos números múltiplos de 7 ou de 11 há entre 1 e 1000?
Provas
Questão presente nas seguintes provas
Considere um número N com exatamente dois algarismos diferentes de zero, e seja P o conjunto de todos os números distintos de dois algarismos formados com os algarismos de N, incluindo o próprio N. A soma de todos os números do conjunto P, qualquer que seja N, é divisível por
Provas
Questão presente nas seguintes provas
José de Arimatéia subiu a escada de pedra do
alpendrão, e deu com Seu Tonho Inácio na cadeira de
balanço, distraído em trançar o lacinho de seis pernas
com palha de milho desfiada. A gente encontrava aquelas
5 trançazinhas por toda parte (...) - naqueles lugares onde
o velho gostava de ficar, horas e horas, namorando a
criação e fiscalizando a camaradagem no serviço. Com a
chegada do dentista, Tonho Inácio voltou a si da avoação
em que andava:
10 - Hã, é o senhor? Pois se assente ... Hum ... espera
que a Dosolina quer lhe falar também. Vamos até lá
dentro...
E entrou pelo corredor do sobrado, acompanhado do
rapaz.
15 Na sala - quase que sempre fechada, naturalmente
por causa disso aquele sossego e o cheiro murcho de
coisa velha - a mobília de palhinha, o sofá muito grande,
a cadeirona de balanço igual à outra do alpendre. Retratos
nas paredes: os homens, de testa curta e barbados, as
20 mulheres de coque enrolado e alto (...), a gola do vestido
justa e abotoada no pescoço à feição de colarinho. Povo
dos Inácios, dos Gusmões: famílias de Seu Tonho e Dona
Dosolina. Morriam, mas os retratos ficavam para os filhos
os mostrarem às visitas - contar como aqueles antigos
25 eram, as manias que cada qual devia ter, as proezas
deles nos tempos das primeiras derrubadas no sertão da
Mata dos Mineiros.
De seus pais, José de Arimatéia nem saber o nome
sabia.
30 Lembrava-se mas era só do Seu Joaquinzão Carapina,
comprido e muito magro, sempre de ferramenta na mão
- derrubando árvore, lavrando e serrando, aparelhando
madeira. (...) E ele, José de Arimatéia, menininho de
tudo ainda, mas já agarrado no serviço, a catar lascas e
35 serragem para cozinhar a panela de feijão e coar a água
rala do café de rapadura, adjutorando no que podia.
PALMÉRIO, Mário. Chapadão do Bugre. Rio de Janeiro: Editora Livraria
José Olímpio, 1966. (Adaptado)
Em "naturalmente por causa disso ..." (l. 15-16), o termo disso se refere ao(à)alpendrão, e deu com Seu Tonho Inácio na cadeira de
balanço, distraído em trançar o lacinho de seis pernas
com palha de milho desfiada. A gente encontrava aquelas
5 trançazinhas por toda parte (...) - naqueles lugares onde
o velho gostava de ficar, horas e horas, namorando a
criação e fiscalizando a camaradagem no serviço. Com a
chegada do dentista, Tonho Inácio voltou a si da avoação
em que andava:
10 - Hã, é o senhor? Pois se assente ... Hum ... espera
que a Dosolina quer lhe falar também. Vamos até lá
dentro...
E entrou pelo corredor do sobrado, acompanhado do
rapaz.
15 Na sala - quase que sempre fechada, naturalmente
por causa disso aquele sossego e o cheiro murcho de
coisa velha - a mobília de palhinha, o sofá muito grande,
a cadeirona de balanço igual à outra do alpendre. Retratos
nas paredes: os homens, de testa curta e barbados, as
20 mulheres de coque enrolado e alto (...), a gola do vestido
justa e abotoada no pescoço à feição de colarinho. Povo
dos Inácios, dos Gusmões: famílias de Seu Tonho e Dona
Dosolina. Morriam, mas os retratos ficavam para os filhos
os mostrarem às visitas - contar como aqueles antigos
25 eram, as manias que cada qual devia ter, as proezas
deles nos tempos das primeiras derrubadas no sertão da
Mata dos Mineiros.
De seus pais, José de Arimatéia nem saber o nome
sabia.
30 Lembrava-se mas era só do Seu Joaquinzão Carapina,
comprido e muito magro, sempre de ferramenta na mão
- derrubando árvore, lavrando e serrando, aparelhando
madeira. (...) E ele, José de Arimatéia, menininho de
tudo ainda, mas já agarrado no serviço, a catar lascas e
35 serragem para cozinhar a panela de feijão e coar a água
rala do café de rapadura, adjutorando no que podia.
PALMÉRIO, Mário. Chapadão do Bugre. Rio de Janeiro: Editora Livraria
José Olímpio, 1966. (Adaptado)
Provas
Questão presente nas seguintes provas
Cadernos
Caderno Container