Foram encontradas 50 questões.
Provas

Um dos tipos de diagramas UML (Unified Modeling Language) é o diagrama de casos de uso. A respeito do exposto e do diagrama apresentado, assinale a alternativa correta.
Provas
Como garantimos que uma classe tenha somente uma instância e que essa instância seja facilmente acessível? Uma variável global torna um objeto acessível, mas não impede você de instanciar múltiplos objetos.
GAMMA, E. et al. Padrões de Projeto: Soluções reutilizáveis de software orientado a objetos. Porto Alegre: Bookman, 2000.
Em relação ao exposto e ao padrão de projeto Singleton, assinale alternativa que indica uma das vantagens do referido padrão.
Provas
O Modelo Espiral (Spiral) foi originalmente proposto por Boehm (1986) e é fortemente orientado à redução de riscos.
WAZLAWICK, R. S. Engenharia de Software: Conceitos e práticas. São Paulo: Elsevier, 2013.
Considerando o exposto e o Modelo Espiral de ciclo de vida de software, assinale a alternativa correta.
Provas
Provas
Provas
- Qualidade de SoftwareControle de Qualidade
- Qualidade de SoftwareInspeção de Software
- Qualidade de SoftwareRevisões de Software
Provas

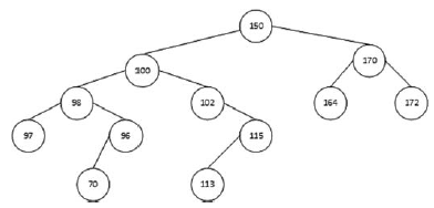
Considerando a árvore ilustrada na figura, assinale a alternativa correto.
Provas
Provas
Provas
Caderno Container