Foram encontradas 100 questões.
A natureza variada dos inseticidas presentes
no ambiente faz de sua detecção uma tarefa
importante, contudo, suas concentrações,
frequentemente baixas, dificultam esse
trabalho. Uma das formas de quantificar
quantidades muito pequenas de produtos
ambientais de importância ambiental é a partir
da utilização de detectores cromatográficos
muito sensíveis. O detector mais comum em
cromatografia gasosa (CG), para a análise de
pesticidas halogenados, é o detector de
captura eletrônica (ECD). Sobre essa técnica,
assinale a alternativa incorreta.
Provas
Questão presente nas seguintes provas
- Química InorgânicaSoluções e Substâncias InorgânicasSoluções: características, tipos de concentração, diluição, mistura, titulação e soluções coloidais
Um químico precisa determinar a acidez do
leite, para tanto necessita preparar 500 mL de
uma solução de hidróxido de sódio (NaOH) de
concentração igual a 0,4 mol/L e com 95% de
grau de pureza. Assinale a alternativa correta
que indica qual massa de NaOH deve ser
pesada. (Na= 23 g.mol-1
; O = 16 g.mol-1
e H =
1 g.mol-1
)
Provas
Questão presente nas seguintes provas
Pescado é todo animal que vive normalmente
em água doce ou salgada e que serve para
alimentação. O pescado é considerado fresco
quando não sofreu qualquer processo de
conservação, exceto pelo resfriamento, e que
mantém seus caracteres sensoriais essenciais
inalterados. O método para avaliar o estado de
conservação da carne de pescado fresca é
realizado levando em consideração que a
decomposição bacteriana dos aminoácidos
sulfurados da carne de pescado libera enxofre,
o qual em meio ácido transforma-se em gás
sulfídrico (H2S). Assinale a alternativa correta
que apresenta o nome do referido método.
Provas
Questão presente nas seguintes provas
Existe um grande número de dispositivos para
medir volumes que são utilizados para a
medição analítica. Esses dispositivos incluem
balões volumétricos, pipetas volumétricas,
buretas, micropipetas e seringas. Sobre os
equipamentos volumétricos, assinale a
alternativa incorreta.
Provas
Questão presente nas seguintes provas
Sobre os métodos analíticos é incorreto
afirmar que:
Provas
Questão presente nas seguintes provas
- Química InorgânicaSoluções e Substâncias InorgânicasSoluções: características, tipos de concentração, diluição, mistura, titulação e soluções coloidais
- Sistemas de EquilíbrioSistemas Heterogêneos: Produto de Solubilidade (Kps)
Em relação a volumetria de precipitação,
assinale a alternativa incorreta.
Provas
Questão presente nas seguintes provas
A Cromatografia Líquida de Alta Eficiência (CLAE) é o tipo mais versátil e mais amplamente
empregado de cromatografia por eluição. Essa técnica é usada pelos químicos para separar e
determinar espécies em uma grande quantidade de materiais orgânicos, inorgânicos e biológicos. A
figura abaixo apresenta um equipamento básico de CLAE.
(Figura extraída de: Química Nova na Escola, N° 7, maio 1998)
Assinale a alternativa correta que apresenta o nome dos componentes identificados pelas letras a, b, c, d, e e f presentes num CLAE.
(Figura extraída de: Química Nova na Escola, N° 7, maio 1998)
Assinale a alternativa correta que apresenta o nome dos componentes identificados pelas letras a, b, c, d, e e f presentes num CLAE.
Provas
Questão presente nas seguintes provas
- Química InorgânicaSoluções e Substâncias InorgânicasSoluções: características, tipos de concentração, diluição, mistura, titulação e soluções coloidais
Um laboratório de análise química recebeu
uma amostra bruta de sal marinho (NaCl)
contendo impurezas naturais. Pesou-se
0,5000 g da amostra seca em estufa,
dissolveu-se em água e titulou-se, pelo
método de Mohr, gastando-se 50,00 mL de
uma solução padrão de nitrato de prata
(AgNO3) 0,100 mol.L-1
. Assinale a alternativa
correta que apresenta a porcentagem (%)
(m/m) de cloreto na amostra original
aproximada. (Dados: Na = 23 g.mol-1
e Cl =
35,5 g.mol-1
).
Provas
Questão presente nas seguintes provas
- FundamentosPropriedades das Substâncias
- FundamentosSubstâncias, Misturas e Processos de Separação
- Técnicas de LaboratórioEquipamentos e Técnicas Básicas
Os parâmetros analíticos normalmente
encontrados para validação de métodos de
separação são: seletividade; linearidade e
faixa de aplicação; precisão; exatidão; limite
de detecção; limite de quantificação e
robustez. Estes termos são conhecidos como
parâmetros de desempenho analítico,
características de desempenho e, algumas
vezes, como figuras analíticas de mérito.
Analise as sentenças abaixo:
( ) A seletividade de um método instrumental de separação é a capacidade de avaliar, de forma inequívoca, as substâncias em exame na presença de componentes que podem interferir com a sua determinação em uma amostra complexa. ( ) A linearidade corresponde à capacidade do método em fornecer resultados diretamente proporcionais à concentração da substância em exame, dentro de uma determinada faixa de aplicação. ( ) A faixa de aplicação corresponde ao intervalo entre o valor superior e inferior da substância em exame, que atenda aos requisitos de precisão e exatidão. ( ) A sensibilidade é afetada pela inclinação da curva de calibração e a reprodutibilidade ou precisão do dispositivo de medida.
Considerando (V) para as sentenças verdadeiras e (F) para as falsas, assinale a alternativa correta que representa os enunciados anteriores, respectivamente.
( ) A seletividade de um método instrumental de separação é a capacidade de avaliar, de forma inequívoca, as substâncias em exame na presença de componentes que podem interferir com a sua determinação em uma amostra complexa. ( ) A linearidade corresponde à capacidade do método em fornecer resultados diretamente proporcionais à concentração da substância em exame, dentro de uma determinada faixa de aplicação. ( ) A faixa de aplicação corresponde ao intervalo entre o valor superior e inferior da substância em exame, que atenda aos requisitos de precisão e exatidão. ( ) A sensibilidade é afetada pela inclinação da curva de calibração e a reprodutibilidade ou precisão do dispositivo de medida.
Considerando (V) para as sentenças verdadeiras e (F) para as falsas, assinale a alternativa correta que representa os enunciados anteriores, respectivamente.
Provas
Questão presente nas seguintes provas
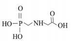
O herbicida glifosato é um organofosforado
derivado do ácido fosfórico, que pode conter
em sua estrutura átomos de carbono (C),
hidrogênio (H), oxigênio (O), enxofre (S),
nitrogênio (N) e fósforo (P). Abaixo é
apresentada a fórmula estrutural do N-
(fosfonometil)-glicina (Glifosato).
Sobre esse composto, assinale a alternativa correta.
Sobre esse composto, assinale a alternativa correta.
Provas
Questão presente nas seguintes provas
Cadernos
Caderno Container