Foram encontradas 40 questões.
Foi realizada uma pesquisa, nos quatro primeiros meses do ano de 2014, sobre o consumo de plástico por uma empresa. Os resultados obtidos podem ser observados no gráfico a seguir:

O percentual de crescimento do consumo de plástico do mês de abril, em relação ao mês de fevereiro, equivale a
Provas
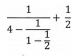
Um professor de Matemática fez uma gincana com a sua turma de alunos dividindo-a em dois grupos: o dos meninos e o das meninas. Em uma das tarefas da gincana, ele mandou que todos resolvessem a expressão abaixo.

Depois, solicitou que os meninos multiplicassem o resultado da expressão por 10, e que as meninas multiplicassem o resultado da expressão por 1/10 . Para concluir a tarefa, e sabendo que os dois grupos acertaram, a soma do resultado encontrado pelo grupo dos meninos com o resultado encontrado pelo grupo das meninas foi:
Provas
Tangram é um antigo jogo chinês, que consiste na formação de figuras e desenhos por meio de peças. Não se sabe exatamente quando o jogo surgiu, embora exista uma lenda sobre tal criação. Segundo a lenda, um imperador chinês quebrou um espelho, e, ao tentar juntar os pedaços e remontá-lo, percebeu que poderia construir muitas formas com os cacos.

De qualquer forma, o tangram é jogado há séculos em todo o Oriente. De lá, o quebra-cabeça chinês se espalhou por toda a Ásia, Europa e Estados Unidos, tendo sido, inclusive, fonte de inspiração para a criação de muitos outros tipos de brinquedos.
Adaptado de http://www.mundoeducacao.c:om/curiosidades/tanaram.htm
Abaixo temos um exemplo de tangram com 15 peças poligonais construído sobre uma malha quadriculada formada por 64 quadrados, cada um com 1 decímetro de lado.
Observação: os algarismos estão localizados no interior das figuras, de acordo com a legenda a seguir.

Observando o tangram acima, a fração que representa a soma das áreas dos triângulos pequenos em relação à área total da malha quadriculada, que contém 64 quadrados, é igual a
Provas
O pedreiro Joaquim vai construir um muro com tijolos de três cores (amarelo, marrom e vermelho), de maneira que dois tijolos que se tocam sempre são de cores diferentes. A figura abaixo está representando uma parte do muro e o modo de distribuição dos tijolos. Para a representação, foram utilizados 22 tijolos. Os preços dos tijolos variam de acordo com a cor: o amarelo custa R$ 5,00 cada; o marrom custa R$ 6,00 cada; e o vermelho, R$ 7,00 cada. Para construir só uma parte do muro com esses 22 tijolos, como mostra a figura, o menor preço que se gastará, equivale a

Provas
Suponha que seja formada uma fileira por carrapatos dessa espécie, um atrás do outro, todos adultos com comprimento máximo, e que cada macho esteja localizado entre duas fêmeas. Qual a quantidade máxima de fêmeas necessária para ocupar essa fila, num intervalo de dois metros?
Provas
Felipe tinha quatro objetos - um lápis, um cabo da vassoura, um cano e um pedaço de fio, e queria descobrir a medida de comprimento de cada um deles. Como não tinha nenhum instrumento de medida padronizado, resolveu usar os próprios objetos, um com o outro, como unidade de medida de comprimento. Veja abaixo o que ele descobriu.

''A medida do comprimento do lápis corresponde à oitava parte da medida do comprimento do cabo da vassoura. Se somar a medida do comprimento do pedaço de fio com a medida do comprimento do cano, terei a medida do comprimento do cabo da vassoura. O comprimento da medida do cabo da vassoura menos o comprimento da medida do lápis é igual à medida do comprimento do cano. ''
Felipe resolveu, então, medir com uma régua o comprimento do maior objeto, e descobriu que ele tem 1,20 metro de comprimento. Usando os dados que ele descobriu, sabemos que a medida do comprimento do pedaço de fio, equivale a
Provas
Na figura abaixo, o ponto Q divide o lado AD do paralelograma ABCD em duas partes iguais, e o ponto P divide o segmento AQ em duas partes iguais. A área em cm2 do triângulo APB, sabendo-se que a área do Paralelogramo é 208 cm2, é:

Provas
Michele montou 64 cubinhos, todos com as faces na cor branca e formou um cubo maior. Depois, ela pintou todas as faces do cubo na cor azul. Um dia, ela desmontou o cubo maior e espalhou os 64 cubinhos. A fração que representa a quantidade de cubinhos com todas as faces na cor branca pela quantidade de cubinhos com apenas uma de suas faces pintadas na cor azul, equivale a

Provas
Um número é capicua ou palíndromo quando, lido da esquerda para a direita ou da direita para a esquerda, representa sempre o mesmo valor, como por exemplo, 434, 777, 6446 e 82328.

Seja ABC um número de três dígitos. A probabilidade de esse número ser capicua é igual a
Provas

Provas
Caderno Container