Foram encontradas 39 questões.
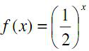
Das figuras abaixo, a que melhor representa o gráfico da função f de R em R , definida por
, é:
, é:Provas
Questão presente nas seguintes provas
A equação que representa a área do triângulo abaixo é:


Provas
Questão presente nas seguintes provas
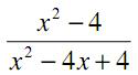
A expressão
pode ser simplificada até encontrarmos:
pode ser simplificada até encontrarmos:
Provas
Questão presente nas seguintes provas
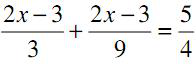
O número real x que satisfaz a equação
é tal que:
é tal que:
Provas
Questão presente nas seguintes provas
Você escreve seu nome na agenda?
01 Tenho o privilégio de ser médico há algumas décadas. Pessoas consultam para tratar doenças,
02 entender melhor algo que ......... percebendo. Buscam diagnóstico, tratamento, alívio. Cada vez mais
03 encontro gente interessada em __________ alterações que podem gerar problemas no futuro – os fatores
04 de risco. São poucas as vezes em que não encontro sugestões para uma vida com mais qualidade e
05 duração mais longa. ____ inúmeras mudanças em hábitos nas nossas vidas que comprovadamente
06 poderão levar a mais e melhores anos de vida. ____ conhecimento científico comprovado disponível.
07 Como é a _______ quando estas mudanças são propostas? Sabe-se que mudar hábitos é difícil. s
08 vezes, um susto ou medo de que algo ruim aconteça é o que motiva: passar-se por um episódio de doença,
09 ou em familiar ou amigo próximo, pode motivar mudanças.
10 ____ na literatura médica farta comprovação da dificuldade que é manter o uso regular de
11 medicamentos nas doenças crônicas como hipertensão arterial. As pessoas cansam, sentem efeitos
12 colaterais, esquecem, e o resultado é a queda nos índices de aceitação.
13 E as recomendações de mudança de hábitos? Quando um sedentário é identificado, sugere-se que
14 escolha algum tipo de atividade física de que goste (ou “desgoste” menos...) e comece gradualmente a
15 exercitar-se. Depois de quatro a oito semanas, começa-se a perceber sensação de bem-estar, disposição,
16 melhora na qualidade do sono. Mas a transição da inatividade para o hábito do exercício exige esforço e
17 determinação iniciais que nem sempre se encontram. O bem-estar e até o vício pelo exercício só ......
18 depois. Inúmeros são os argumentos que expressam esta resistência: “Não tenho tempo, viajo muito, não há
19 academia próxima...” E 30 minutos de simples caminhada já seriam suficientes para a transformação, diários
20 ou na frequência possível! Qualquer coisa é melhor que nenhuma coisa...
21 Foi assim que recolhi numa palestra de Nuno Cobra a sugestão que utilizo bastante: “Escreva seu
22 nome em sua agenda!”. Reserve um tempo para si próprio e sua atividade física. Você merece uma hora de
23 alguns dos seus dias para plantar saúde em seu corpo!
24 É claro que não é tão simples e que o motivo “falta de tempo” em geral é uma das formas de resistir.
25 Mas, em conversa franca, pode-se chegar à parceria com quem afinal nos procurou, buscando mais e
26 melhores anos de vida.
27 Isto vale como parte das sugestões que se fazem aos que ...... benefícios nas mudanças: hábito de
28 fumar, álcool e drogas, excesso de peso corporal, mau hábito alimentar, postura física, segurança no
29 trânsito, melhora nas relações interpessoais no trabalho e na família, ________ emocionais excessivas, falta
30 de lazer. Estes são alguns pontos que temos que entender e ajudar quem nos procura para que
31 compreenda e encontre maneiras de mudar para melhor.
32 Vale o esforço.
(Kanter, José Flávio – médico -. Zero Hora, 03-2-2010)
Caso pessoas ( l. 11) fosse passada para o singular, quantas outras alterações seriam necessárias para manter a correção gramatical do período?01 Tenho o privilégio de ser médico há algumas décadas. Pessoas consultam para tratar doenças,
02 entender melhor algo que ......... percebendo. Buscam diagnóstico, tratamento, alívio. Cada vez mais
03 encontro gente interessada em __________ alterações que podem gerar problemas no futuro – os fatores
04 de risco. São poucas as vezes em que não encontro sugestões para uma vida com mais qualidade e
05 duração mais longa. ____ inúmeras mudanças em hábitos nas nossas vidas que comprovadamente
06 poderão levar a mais e melhores anos de vida. ____ conhecimento científico comprovado disponível.
07 Como é a _______ quando estas mudanças são propostas? Sabe-se que mudar hábitos é difícil. s
08 vezes, um susto ou medo de que algo ruim aconteça é o que motiva: passar-se por um episódio de doença,
09 ou em familiar ou amigo próximo, pode motivar mudanças.
10 ____ na literatura médica farta comprovação da dificuldade que é manter o uso regular de
11 medicamentos nas doenças crônicas como hipertensão arterial. As pessoas cansam, sentem efeitos
12 colaterais, esquecem, e o resultado é a queda nos índices de aceitação.
13 E as recomendações de mudança de hábitos? Quando um sedentário é identificado, sugere-se que
14 escolha algum tipo de atividade física de que goste (ou “desgoste” menos...) e comece gradualmente a
15 exercitar-se. Depois de quatro a oito semanas, começa-se a perceber sensação de bem-estar, disposição,
16 melhora na qualidade do sono. Mas a transição da inatividade para o hábito do exercício exige esforço e
17 determinação iniciais que nem sempre se encontram. O bem-estar e até o vício pelo exercício só ......
18 depois. Inúmeros são os argumentos que expressam esta resistência: “Não tenho tempo, viajo muito, não há
19 academia próxima...” E 30 minutos de simples caminhada já seriam suficientes para a transformação, diários
20 ou na frequência possível! Qualquer coisa é melhor que nenhuma coisa...
21 Foi assim que recolhi numa palestra de Nuno Cobra a sugestão que utilizo bastante: “Escreva seu
22 nome em sua agenda!”. Reserve um tempo para si próprio e sua atividade física. Você merece uma hora de
23 alguns dos seus dias para plantar saúde em seu corpo!
24 É claro que não é tão simples e que o motivo “falta de tempo” em geral é uma das formas de resistir.
25 Mas, em conversa franca, pode-se chegar à parceria com quem afinal nos procurou, buscando mais e
26 melhores anos de vida.
27 Isto vale como parte das sugestões que se fazem aos que ...... benefícios nas mudanças: hábito de
28 fumar, álcool e drogas, excesso de peso corporal, mau hábito alimentar, postura física, segurança no
29 trânsito, melhora nas relações interpessoais no trabalho e na família, ________ emocionais excessivas, falta
30 de lazer. Estes são alguns pontos que temos que entender e ajudar quem nos procura para que
31 compreenda e encontre maneiras de mudar para melhor.
32 Vale o esforço.
(Kanter, José Flávio – médico -. Zero Hora, 03-2-2010)
Provas
Questão presente nas seguintes provas
Você escreve seu nome na agenda?
01 Tenho o privilégio de ser médico há algumas décadas. Pessoas consultam para tratar doenças,
02 entender melhor algo que ......... percebendo. Buscam diagnóstico, tratamento, alívio. Cada vez mais
03 encontro gente interessada em __________ alterações que podem gerar problemas no futuro – os fatores
04 de risco. São poucas as vezes em que não encontro sugestões para uma vida com mais qualidade e
05 duração mais longa. ____ inúmeras mudanças em hábitos nas nossas vidas que comprovadamente
06 poderão levar a mais e melhores anos de vida. ____ conhecimento científico comprovado disponível.
07 Como é a _______ quando estas mudanças são propostas? Sabe-se que mudar hábitos é difícil. s
08 vezes, um susto ou medo de que algo ruim aconteça é o que motiva: passar-se por um episódio de doença,
09 ou em familiar ou amigo próximo, pode motivar mudanças.
10 ____ na literatura médica farta comprovação da dificuldade que é manter o uso regular de
11 medicamentos nas doenças crônicas como hipertensão arterial. As pessoas cansam, sentem efeitos
12 colaterais, esquecem, e o resultado é a queda nos índices de aceitação.
13 E as recomendações de mudança de hábitos? Quando um sedentário é identificado, sugere-se que
14 escolha algum tipo de atividade física de que goste (ou “desgoste” menos...) e comece gradualmente a
15 exercitar-se. Depois de quatro a oito semanas, começa-se a perceber sensação de bem-estar, disposição,
16 melhora na qualidade do sono. Mas a transição da inatividade para o hábito do exercício exige esforço e
17 determinação iniciais que nem sempre se encontram. O bem-estar e até o vício pelo exercício só ......
18 depois. Inúmeros são os argumentos que expressam esta resistência: “Não tenho tempo, viajo muito, não há
19 academia próxima...” E 30 minutos de simples caminhada já seriam suficientes para a transformação, diários
20 ou na frequência possível! Qualquer coisa é melhor que nenhuma coisa...
21 Foi assim que recolhi numa palestra de Nuno Cobra a sugestão que utilizo bastante: “Escreva seu
22 nome em sua agenda!”. Reserve um tempo para si próprio e sua atividade física. Você merece uma hora de
23 alguns dos seus dias para plantar saúde em seu corpo!
24 É claro que não é tão simples e que o motivo “falta de tempo” em geral é uma das formas de resistir.
25 Mas, em conversa franca, pode-se chegar à parceria com quem afinal nos procurou, buscando mais e
26 melhores anos de vida.
27 Isto vale como parte das sugestões que se fazem aos que ...... benefícios nas mudanças: hábito de
28 fumar, álcool e drogas, excesso de peso corporal, mau hábito alimentar, postura física, segurança no
29 trânsito, melhora nas relações interpessoais no trabalho e na família, ________ emocionais excessivas, falta
30 de lazer. Estes são alguns pontos que temos que entender e ajudar quem nos procura para que
31 compreenda e encontre maneiras de mudar para melhor.
32 Vale o esforço.
(Kanter, José Flávio – médico -. Zero Hora, 03-2-2010)
Dentre as palavras abaixo, assinale a que mais se aproxima do sentido que sedentário ( linha 13) tem no texto:01 Tenho o privilégio de ser médico há algumas décadas. Pessoas consultam para tratar doenças,
02 entender melhor algo que ......... percebendo. Buscam diagnóstico, tratamento, alívio. Cada vez mais
03 encontro gente interessada em __________ alterações que podem gerar problemas no futuro – os fatores
04 de risco. São poucas as vezes em que não encontro sugestões para uma vida com mais qualidade e
05 duração mais longa. ____ inúmeras mudanças em hábitos nas nossas vidas que comprovadamente
06 poderão levar a mais e melhores anos de vida. ____ conhecimento científico comprovado disponível.
07 Como é a _______ quando estas mudanças são propostas? Sabe-se que mudar hábitos é difícil. s
08 vezes, um susto ou medo de que algo ruim aconteça é o que motiva: passar-se por um episódio de doença,
09 ou em familiar ou amigo próximo, pode motivar mudanças.
10 ____ na literatura médica farta comprovação da dificuldade que é manter o uso regular de
11 medicamentos nas doenças crônicas como hipertensão arterial. As pessoas cansam, sentem efeitos
12 colaterais, esquecem, e o resultado é a queda nos índices de aceitação.
13 E as recomendações de mudança de hábitos? Quando um sedentário é identificado, sugere-se que
14 escolha algum tipo de atividade física de que goste (ou “desgoste” menos...) e comece gradualmente a
15 exercitar-se. Depois de quatro a oito semanas, começa-se a perceber sensação de bem-estar, disposição,
16 melhora na qualidade do sono. Mas a transição da inatividade para o hábito do exercício exige esforço e
17 determinação iniciais que nem sempre se encontram. O bem-estar e até o vício pelo exercício só ......
18 depois. Inúmeros são os argumentos que expressam esta resistência: “Não tenho tempo, viajo muito, não há
19 academia próxima...” E 30 minutos de simples caminhada já seriam suficientes para a transformação, diários
20 ou na frequência possível! Qualquer coisa é melhor que nenhuma coisa...
21 Foi assim que recolhi numa palestra de Nuno Cobra a sugestão que utilizo bastante: “Escreva seu
22 nome em sua agenda!”. Reserve um tempo para si próprio e sua atividade física. Você merece uma hora de
23 alguns dos seus dias para plantar saúde em seu corpo!
24 É claro que não é tão simples e que o motivo “falta de tempo” em geral é uma das formas de resistir.
25 Mas, em conversa franca, pode-se chegar à parceria com quem afinal nos procurou, buscando mais e
26 melhores anos de vida.
27 Isto vale como parte das sugestões que se fazem aos que ...... benefícios nas mudanças: hábito de
28 fumar, álcool e drogas, excesso de peso corporal, mau hábito alimentar, postura física, segurança no
29 trânsito, melhora nas relações interpessoais no trabalho e na família, ________ emocionais excessivas, falta
30 de lazer. Estes são alguns pontos que temos que entender e ajudar quem nos procura para que
31 compreenda e encontre maneiras de mudar para melhor.
32 Vale o esforço.
(Kanter, José Flávio – médico -. Zero Hora, 03-2-2010)
Provas
Questão presente nas seguintes provas
Você escreve seu nome na agenda?
01 Tenho o privilégio de ser médico há algumas décadas. Pessoas consultam para tratar doenças,
02 entender melhor algo que ......... percebendo. Buscam diagnóstico, tratamento, alívio. Cada vez mais
03 encontro gente interessada em __________ alterações que podem gerar problemas no futuro – os fatores
04 de risco. São poucas as vezes em que não encontro sugestões para uma vida com mais qualidade e
05 duração mais longa. ____ inúmeras mudanças em hábitos nas nossas vidas que comprovadamente
06 poderão levar a mais e melhores anos de vida. ____ conhecimento científico comprovado disponível.
07 Como é a _______ quando estas mudanças são propostas? Sabe-se que mudar hábitos é difícil. s
08 vezes, um susto ou medo de que algo ruim aconteça é o que motiva: passar-se por um episódio de doença,
09 ou em familiar ou amigo próximo, pode motivar mudanças.
10 ____ na literatura médica farta comprovação da dificuldade que é manter o uso regular de
11 medicamentos nas doenças crônicas como hipertensão arterial. As pessoas cansam, sentem efeitos
12 colaterais, esquecem, e o resultado é a queda nos índices de aceitação.
13 E as recomendações de mudança de hábitos? Quando um sedentário é identificado, sugere-se que
14 escolha algum tipo de atividade física de que goste (ou “desgoste” menos...) e comece gradualmente a
15 exercitar-se. Depois de quatro a oito semanas, começa-se a perceber sensação de bem-estar, disposição,
16 melhora na qualidade do sono. Mas a transição da inatividade para o hábito do exercício exige esforço e
17 determinação iniciais que nem sempre se encontram. O bem-estar e até o vício pelo exercício só ......
18 depois. Inúmeros são os argumentos que expressam esta resistência: “Não tenho tempo, viajo muito, não há
19 academia próxima...” E 30 minutos de simples caminhada já seriam suficientes para a transformação, diários
20 ou na frequência possível! Qualquer coisa é melhor que nenhuma coisa...
21 Foi assim que recolhi numa palestra de Nuno Cobra a sugestão que utilizo bastante: “Escreva seu
22 nome em sua agenda!”. Reserve um tempo para si próprio e sua atividade física. Você merece uma hora de
23 alguns dos seus dias para plantar saúde em seu corpo!
24 É claro que não é tão simples e que o motivo “falta de tempo” em geral é uma das formas de resistir.
25 Mas, em conversa franca, pode-se chegar à parceria com quem afinal nos procurou, buscando mais e
26 melhores anos de vida.
27 Isto vale como parte das sugestões que se fazem aos que ...... benefícios nas mudanças: hábito de
28 fumar, álcool e drogas, excesso de peso corporal, mau hábito alimentar, postura física, segurança no
29 trânsito, melhora nas relações interpessoais no trabalho e na família, ________ emocionais excessivas, falta
30 de lazer. Estes são alguns pontos que temos que entender e ajudar quem nos procura para que
31 compreenda e encontre maneiras de mudar para melhor.
32 Vale o esforço.
(Kanter, José Flávio – médico -. Zero Hora, 03-2-2010)
A partir da leitura do texto, é possível dizer que o título tem a função de: 01 Tenho o privilégio de ser médico há algumas décadas. Pessoas consultam para tratar doenças,
02 entender melhor algo que ......... percebendo. Buscam diagnóstico, tratamento, alívio. Cada vez mais
03 encontro gente interessada em __________ alterações que podem gerar problemas no futuro – os fatores
04 de risco. São poucas as vezes em que não encontro sugestões para uma vida com mais qualidade e
05 duração mais longa. ____ inúmeras mudanças em hábitos nas nossas vidas que comprovadamente
06 poderão levar a mais e melhores anos de vida. ____ conhecimento científico comprovado disponível.
07 Como é a _______ quando estas mudanças são propostas? Sabe-se que mudar hábitos é difícil. s
08 vezes, um susto ou medo de que algo ruim aconteça é o que motiva: passar-se por um episódio de doença,
09 ou em familiar ou amigo próximo, pode motivar mudanças.
10 ____ na literatura médica farta comprovação da dificuldade que é manter o uso regular de
11 medicamentos nas doenças crônicas como hipertensão arterial. As pessoas cansam, sentem efeitos
12 colaterais, esquecem, e o resultado é a queda nos índices de aceitação.
13 E as recomendações de mudança de hábitos? Quando um sedentário é identificado, sugere-se que
14 escolha algum tipo de atividade física de que goste (ou “desgoste” menos...) e comece gradualmente a
15 exercitar-se. Depois de quatro a oito semanas, começa-se a perceber sensação de bem-estar, disposição,
16 melhora na qualidade do sono. Mas a transição da inatividade para o hábito do exercício exige esforço e
17 determinação iniciais que nem sempre se encontram. O bem-estar e até o vício pelo exercício só ......
18 depois. Inúmeros são os argumentos que expressam esta resistência: “Não tenho tempo, viajo muito, não há
19 academia próxima...” E 30 minutos de simples caminhada já seriam suficientes para a transformação, diários
20 ou na frequência possível! Qualquer coisa é melhor que nenhuma coisa...
21 Foi assim que recolhi numa palestra de Nuno Cobra a sugestão que utilizo bastante: “Escreva seu
22 nome em sua agenda!”. Reserve um tempo para si próprio e sua atividade física. Você merece uma hora de
23 alguns dos seus dias para plantar saúde em seu corpo!
24 É claro que não é tão simples e que o motivo “falta de tempo” em geral é uma das formas de resistir.
25 Mas, em conversa franca, pode-se chegar à parceria com quem afinal nos procurou, buscando mais e
26 melhores anos de vida.
27 Isto vale como parte das sugestões que se fazem aos que ...... benefícios nas mudanças: hábito de
28 fumar, álcool e drogas, excesso de peso corporal, mau hábito alimentar, postura física, segurança no
29 trânsito, melhora nas relações interpessoais no trabalho e na família, ________ emocionais excessivas, falta
30 de lazer. Estes são alguns pontos que temos que entender e ajudar quem nos procura para que
31 compreenda e encontre maneiras de mudar para melhor.
32 Vale o esforço.
(Kanter, José Flávio – médico -. Zero Hora, 03-2-2010)
I. Aguçar a curiosidade do leitor sobre o que será apresentado no texto.
II. Questionar o leitor acerca de seus compromissos profissionais.
III. Conduzir o leitor a um questionamento acerca de como ele dispõe de seu próprio tempo.
Quais das afirmações estão corretas?
Provas
Questão presente nas seguintes provas
Você escreve seu nome na agenda?
01 Tenho o privilégio de ser médico há algumas décadas. Pessoas consultam para tratar doenças,
02 entender melhor algo que ......... percebendo. Buscam diagnóstico, tratamento, alívio. Cada vez mais
03 encontro gente interessada em __________ alterações que podem gerar problemas no futuro – os fatores
04 de risco. São poucas as vezes em que não encontro sugestões para uma vida com mais qualidade e
05 duração mais longa. ____ inúmeras mudanças em hábitos nas nossas vidas que comprovadamente
06 poderão levar a mais e melhores anos de vida. ____ conhecimento científico comprovado disponível.
07 Como é a _______ quando estas mudanças são propostas? Sabe-se que mudar hábitos é difícil. s
08 vezes, um susto ou medo de que algo ruim aconteça é o que motiva: passar-se por um episódio de doença,
09 ou em familiar ou amigo próximo, pode motivar mudanças.
10 ____ na literatura médica farta comprovação da dificuldade que é manter o uso regular de
11 medicamentos nas doenças crônicas como hipertensão arterial. As pessoas cansam, sentem efeitos
12 colaterais, esquecem, e o resultado é a queda nos índices de aceitação.
13 E as recomendações de mudança de hábitos? Quando um sedentário é identificado, sugere-se que
14 escolha algum tipo de atividade física de que goste (ou “desgoste” menos...) e comece gradualmente a
15 exercitar-se. Depois de quatro a oito semanas, começa-se a perceber sensação de bem-estar, disposição,
16 melhora na qualidade do sono. Mas a transição da inatividade para o hábito do exercício exige esforço e
17 determinação iniciais que nem sempre se encontram. O bem-estar e até o vício pelo exercício só ......
18 depois. Inúmeros são os argumentos que expressam esta resistência: “Não tenho tempo, viajo muito, não há
19 academia próxima...” E 30 minutos de simples caminhada já seriam suficientes para a transformação, diários
20 ou na frequência possível! Qualquer coisa é melhor que nenhuma coisa...
21 Foi assim que recolhi numa palestra de Nuno Cobra a sugestão que utilizo bastante: “Escreva seu
22 nome em sua agenda!”. Reserve um tempo para si próprio e sua atividade física. Você merece uma hora de
23 alguns dos seus dias para plantar saúde em seu corpo!
24 É claro que não é tão simples e que o motivo “falta de tempo” em geral é uma das formas de resistir.
25 Mas, em conversa franca, pode-se chegar à parceria com quem afinal nos procurou, buscando mais e
26 melhores anos de vida.
27 Isto vale como parte das sugestões que se fazem aos que ...... benefícios nas mudanças: hábito de
28 fumar, álcool e drogas, excesso de peso corporal, mau hábito alimentar, postura física, segurança no
29 trânsito, melhora nas relações interpessoais no trabalho e na família, ________ emocionais excessivas, falta
30 de lazer. Estes são alguns pontos que temos que entender e ajudar quem nos procura para que
31 compreenda e encontre maneiras de mudar para melhor.
32 Vale o esforço.
(Kanter, José Flávio – médico -. Zero Hora, 03-2-2010)
As lacunas pontilhadas das linhas 02, 17 e 27, considerando as regras de concordância verbal, ficam correta e respectivamente preenchidas por:01 Tenho o privilégio de ser médico há algumas décadas. Pessoas consultam para tratar doenças,
02 entender melhor algo que ......... percebendo. Buscam diagnóstico, tratamento, alívio. Cada vez mais
03 encontro gente interessada em __________ alterações que podem gerar problemas no futuro – os fatores
04 de risco. São poucas as vezes em que não encontro sugestões para uma vida com mais qualidade e
05 duração mais longa. ____ inúmeras mudanças em hábitos nas nossas vidas que comprovadamente
06 poderão levar a mais e melhores anos de vida. ____ conhecimento científico comprovado disponível.
07 Como é a _______ quando estas mudanças são propostas? Sabe-se que mudar hábitos é difícil. s
08 vezes, um susto ou medo de que algo ruim aconteça é o que motiva: passar-se por um episódio de doença,
09 ou em familiar ou amigo próximo, pode motivar mudanças.
10 ____ na literatura médica farta comprovação da dificuldade que é manter o uso regular de
11 medicamentos nas doenças crônicas como hipertensão arterial. As pessoas cansam, sentem efeitos
12 colaterais, esquecem, e o resultado é a queda nos índices de aceitação.
13 E as recomendações de mudança de hábitos? Quando um sedentário é identificado, sugere-se que
14 escolha algum tipo de atividade física de que goste (ou “desgoste” menos...) e comece gradualmente a
15 exercitar-se. Depois de quatro a oito semanas, começa-se a perceber sensação de bem-estar, disposição,
16 melhora na qualidade do sono. Mas a transição da inatividade para o hábito do exercício exige esforço e
17 determinação iniciais que nem sempre se encontram. O bem-estar e até o vício pelo exercício só ......
18 depois. Inúmeros são os argumentos que expressam esta resistência: “Não tenho tempo, viajo muito, não há
19 academia próxima...” E 30 minutos de simples caminhada já seriam suficientes para a transformação, diários
20 ou na frequência possível! Qualquer coisa é melhor que nenhuma coisa...
21 Foi assim que recolhi numa palestra de Nuno Cobra a sugestão que utilizo bastante: “Escreva seu
22 nome em sua agenda!”. Reserve um tempo para si próprio e sua atividade física. Você merece uma hora de
23 alguns dos seus dias para plantar saúde em seu corpo!
24 É claro que não é tão simples e que o motivo “falta de tempo” em geral é uma das formas de resistir.
25 Mas, em conversa franca, pode-se chegar à parceria com quem afinal nos procurou, buscando mais e
26 melhores anos de vida.
27 Isto vale como parte das sugestões que se fazem aos que ...... benefícios nas mudanças: hábito de
28 fumar, álcool e drogas, excesso de peso corporal, mau hábito alimentar, postura física, segurança no
29 trânsito, melhora nas relações interpessoais no trabalho e na família, ________ emocionais excessivas, falta
30 de lazer. Estes são alguns pontos que temos que entender e ajudar quem nos procura para que
31 compreenda e encontre maneiras de mudar para melhor.
32 Vale o esforço.
(Kanter, José Flávio – médico -. Zero Hora, 03-2-2010)
Provas
Questão presente nas seguintes provas
Você escreve seu nome na agenda?
01 Tenho o privilégio de ser médico há algumas décadas. Pessoas consultam para tratar doenças,
02 entender melhor algo que ......... percebendo. Buscam diagnóstico, tratamento, alívio. Cada vez mais
03 encontro gente interessada em __________ alterações que podem gerar problemas no futuro – os fatores
04 de risco. São poucas as vezes em que não encontro sugestões para uma vida com mais qualidade e
05 duração mais longa. ____ inúmeras mudanças em hábitos nas nossas vidas que comprovadamente
06 poderão levar a mais e melhores anos de vida. ____ conhecimento científico comprovado disponível.
07 Como é a _______ quando estas mudanças são propostas? Sabe-se que mudar hábitos é difícil. s
08 vezes, um susto ou medo de que algo ruim aconteça é o que motiva: passar-se por um episódio de doença,
09 ou em familiar ou amigo próximo, pode motivar mudanças.
10 ____ na literatura médica farta comprovação da dificuldade que é manter o uso regular de
11 medicamentos nas doenças crônicas como hipertensão arterial. As pessoas cansam, sentem efeitos
12 colaterais, esquecem, e o resultado é a queda nos índices de aceitação.
13 E as recomendações de mudança de hábitos? Quando um sedentário é identificado, sugere-se que
14 escolha algum tipo de atividade física de que goste (ou “desgoste” menos...) e comece gradualmente a
15 exercitar-se. Depois de quatro a oito semanas, começa-se a perceber sensação de bem-estar, disposição,
16 melhora na qualidade do sono. Mas a transição da inatividade para o hábito do exercício exige esforço e
17 determinação iniciais que nem sempre se encontram. O bem-estar e até o vício pelo exercício só ......
18 depois. Inúmeros são os argumentos que expressam esta resistência: “Não tenho tempo, viajo muito, não há
19 academia próxima...” E 30 minutos de simples caminhada já seriam suficientes para a transformação, diários
20 ou na frequência possível! Qualquer coisa é melhor que nenhuma coisa...
21 Foi assim que recolhi numa palestra de Nuno Cobra a sugestão que utilizo bastante: “Escreva seu
22 nome em sua agenda!”. Reserve um tempo para si próprio e sua atividade física. Você merece uma hora de
23 alguns dos seus dias para plantar saúde em seu corpo!
24 É claro que não é tão simples e que o motivo “falta de tempo” em geral é uma das formas de resistir.
25 Mas, em conversa franca, pode-se chegar à parceria com quem afinal nos procurou, buscando mais e
26 melhores anos de vida.
27 Isto vale como parte das sugestões que se fazem aos que ...... benefícios nas mudanças: hábito de
28 fumar, álcool e drogas, excesso de peso corporal, mau hábito alimentar, postura física, segurança no
29 trânsito, melhora nas relações interpessoais no trabalho e na família, ________ emocionais excessivas, falta
30 de lazer. Estes são alguns pontos que temos que entender e ajudar quem nos procura para que
31 compreenda e encontre maneiras de mudar para melhor.
32 Vale o esforço.
(Kanter, José Flávio – médico -. Zero Hora, 03-2-2010)
Considere as seguintes ocorrências da palavra que.01 Tenho o privilégio de ser médico há algumas décadas. Pessoas consultam para tratar doenças,
02 entender melhor algo que ......... percebendo. Buscam diagnóstico, tratamento, alívio. Cada vez mais
03 encontro gente interessada em __________ alterações que podem gerar problemas no futuro – os fatores
04 de risco. São poucas as vezes em que não encontro sugestões para uma vida com mais qualidade e
05 duração mais longa. ____ inúmeras mudanças em hábitos nas nossas vidas que comprovadamente
06 poderão levar a mais e melhores anos de vida. ____ conhecimento científico comprovado disponível.
07 Como é a _______ quando estas mudanças são propostas? Sabe-se que mudar hábitos é difícil. s
08 vezes, um susto ou medo de que algo ruim aconteça é o que motiva: passar-se por um episódio de doença,
09 ou em familiar ou amigo próximo, pode motivar mudanças.
10 ____ na literatura médica farta comprovação da dificuldade que é manter o uso regular de
11 medicamentos nas doenças crônicas como hipertensão arterial. As pessoas cansam, sentem efeitos
12 colaterais, esquecem, e o resultado é a queda nos índices de aceitação.
13 E as recomendações de mudança de hábitos? Quando um sedentário é identificado, sugere-se que
14 escolha algum tipo de atividade física de que goste (ou “desgoste” menos...) e comece gradualmente a
15 exercitar-se. Depois de quatro a oito semanas, começa-se a perceber sensação de bem-estar, disposição,
16 melhora na qualidade do sono. Mas a transição da inatividade para o hábito do exercício exige esforço e
17 determinação iniciais que nem sempre se encontram. O bem-estar e até o vício pelo exercício só ......
18 depois. Inúmeros são os argumentos que expressam esta resistência: “Não tenho tempo, viajo muito, não há
19 academia próxima...” E 30 minutos de simples caminhada já seriam suficientes para a transformação, diários
20 ou na frequência possível! Qualquer coisa é melhor que nenhuma coisa...
21 Foi assim que recolhi numa palestra de Nuno Cobra a sugestão que utilizo bastante: “Escreva seu
22 nome em sua agenda!”. Reserve um tempo para si próprio e sua atividade física. Você merece uma hora de
23 alguns dos seus dias para plantar saúde em seu corpo!
24 É claro que não é tão simples e que o motivo “falta de tempo” em geral é uma das formas de resistir.
25 Mas, em conversa franca, pode-se chegar à parceria com quem afinal nos procurou, buscando mais e
26 melhores anos de vida.
27 Isto vale como parte das sugestões que se fazem aos que ...... benefícios nas mudanças: hábito de
28 fumar, álcool e drogas, excesso de peso corporal, mau hábito alimentar, postura física, segurança no
29 trânsito, melhora nas relações interpessoais no trabalho e na família, ________ emocionais excessivas, falta
30 de lazer. Estes são alguns pontos que temos que entender e ajudar quem nos procura para que
31 compreenda e encontre maneiras de mudar para melhor.
32 Vale o esforço.
(Kanter, José Flávio – médico -. Zero Hora, 03-2-2010)
I. linha 03
II. linha 05
III. linha 14
IV. linha 17
Em quais das ocorrências a palavra que é pronome?
Provas
Questão presente nas seguintes provas
Você escreve seu nome na agenda?
01 Tenho o privilégio de ser médico há algumas décadas. Pessoas consultam para tratar doenças,
02 entender melhor algo que ......... percebendo. Buscam diagnóstico, tratamento, alívio. Cada vez mais
03 encontro gente interessada em __________ alterações que podem gerar problemas no futuro – os fatores
04 de risco. São poucas as vezes em que não encontro sugestões para uma vida com mais qualidade e
05 duração mais longa. ____ inúmeras mudanças em hábitos nas nossas vidas que comprovadamente
06 poderão levar a mais e melhores anos de vida. ____ conhecimento científico comprovado disponível.
07 Como é a _______ quando estas mudanças são propostas? Sabe-se que mudar hábitos é difícil. s
08 vezes, um susto ou medo de que algo ruim aconteça é o que motiva: passar-se por um episódio de doença,
09 ou em familiar ou amigo próximo, pode motivar mudanças.
10 ____ na literatura médica farta comprovação da dificuldade que é manter o uso regular de
11 medicamentos nas doenças crônicas como hipertensão arterial. As pessoas cansam, sentem efeitos
12 colaterais, esquecem, e o resultado é a queda nos índices de aceitação.
13 E as recomendações de mudança de hábitos? Quando um sedentário é identificado, sugere-se que
14 escolha algum tipo de atividade física de que goste (ou “desgoste” menos...) e comece gradualmente a
15 exercitar-se. Depois de quatro a oito semanas, começa-se a perceber sensação de bem-estar, disposição,
16 melhora na qualidade do sono. Mas a transição da inatividade para o hábito do exercício exige esforço e
17 determinação iniciais que nem sempre se encontram. O bem-estar e até o vício pelo exercício só ......
18 depois. Inúmeros são os argumentos que expressam esta resistência: “Não tenho tempo, viajo muito, não há
19 academia próxima...” E 30 minutos de simples caminhada já seriam suficientes para a transformação, diários
20 ou na frequência possível! Qualquer coisa é melhor que nenhuma coisa...
21 Foi assim que recolhi numa palestra de Nuno Cobra a sugestão que utilizo bastante: “Escreva seu
22 nome em sua agenda!”. Reserve um tempo para si próprio e sua atividade física. Você merece uma hora de
23 alguns dos seus dias para plantar saúde em seu corpo!
24 É claro que não é tão simples e que o motivo “falta de tempo” em geral é uma das formas de resistir.
25 Mas, em conversa franca, pode-se chegar à parceria com quem afinal nos procurou, buscando mais e
26 melhores anos de vida.
27 Isto vale como parte das sugestões que se fazem aos que ...... benefícios nas mudanças: hábito de
28 fumar, álcool e drogas, excesso de peso corporal, mau hábito alimentar, postura física, segurança no
29 trânsito, melhora nas relações interpessoais no trabalho e na família, ________ emocionais excessivas, falta
30 de lazer. Estes são alguns pontos que temos que entender e ajudar quem nos procura para que
31 compreenda e encontre maneiras de mudar para melhor.
32 Vale o esforço.
(Kanter, José Flávio – médico -. Zero Hora, 03-2-2010)
01 Tenho o privilégio de ser médico há algumas décadas. Pessoas consultam para tratar doenças,
02 entender melhor algo que ......... percebendo. Buscam diagnóstico, tratamento, alívio. Cada vez mais
03 encontro gente interessada em __________ alterações que podem gerar problemas no futuro – os fatores
04 de risco. São poucas as vezes em que não encontro sugestões para uma vida com mais qualidade e
05 duração mais longa. ____ inúmeras mudanças em hábitos nas nossas vidas que comprovadamente
06 poderão levar a mais e melhores anos de vida. ____ conhecimento científico comprovado disponível.
07 Como é a _______ quando estas mudanças são propostas? Sabe-se que mudar hábitos é difícil. s
08 vezes, um susto ou medo de que algo ruim aconteça é o que motiva: passar-se por um episódio de doença,
09 ou em familiar ou amigo próximo, pode motivar mudanças.
10 ____ na literatura médica farta comprovação da dificuldade que é manter o uso regular de
11 medicamentos nas doenças crônicas como hipertensão arterial. As pessoas cansam, sentem efeitos
12 colaterais, esquecem, e o resultado é a queda nos índices de aceitação.
13 E as recomendações de mudança de hábitos? Quando um sedentário é identificado, sugere-se que
14 escolha algum tipo de atividade física de que goste (ou “desgoste” menos...) e comece gradualmente a
15 exercitar-se. Depois de quatro a oito semanas, começa-se a perceber sensação de bem-estar, disposição,
16 melhora na qualidade do sono. Mas a transição da inatividade para o hábito do exercício exige esforço e
17 determinação iniciais que nem sempre se encontram. O bem-estar e até o vício pelo exercício só ......
18 depois. Inúmeros são os argumentos que expressam esta resistência: “Não tenho tempo, viajo muito, não há
19 academia próxima...” E 30 minutos de simples caminhada já seriam suficientes para a transformação, diários
20 ou na frequência possível! Qualquer coisa é melhor que nenhuma coisa...
21 Foi assim que recolhi numa palestra de Nuno Cobra a sugestão que utilizo bastante: “Escreva seu
22 nome em sua agenda!”. Reserve um tempo para si próprio e sua atividade física. Você merece uma hora de
23 alguns dos seus dias para plantar saúde em seu corpo!
24 É claro que não é tão simples e que o motivo “falta de tempo” em geral é uma das formas de resistir.
25 Mas, em conversa franca, pode-se chegar à parceria com quem afinal nos procurou, buscando mais e
26 melhores anos de vida.
27 Isto vale como parte das sugestões que se fazem aos que ...... benefícios nas mudanças: hábito de
28 fumar, álcool e drogas, excesso de peso corporal, mau hábito alimentar, postura física, segurança no
29 trânsito, melhora nas relações interpessoais no trabalho e na família, ________ emocionais excessivas, falta
30 de lazer. Estes são alguns pontos que temos que entender e ajudar quem nos procura para que
31 compreenda e encontre maneiras de mudar para melhor.
32 Vale o esforço.
(Kanter, José Flávio – médico -. Zero Hora, 03-2-2010)
Para responder às questão, considere o seguinte grupo de palavras
1. diagnóstico
2. alívio
3. hábitos
4. difícil
5. médica
6. vício
Analise as seguintes afirmações:I. As palavras 2 e 6 são acentuadas em razão da mesma regra.
II. As palavras 1, 3 e 5 são acentuadas por serem proparoxítonas.
III. A palavra 4 recebe acento gráfico por ser oxítona terminada em l.
Quais estão corretas?
Provas
Questão presente nas seguintes provas
Cadernos
Caderno Container