Foram encontradas 50 questões.
Com 15% do volume total de uma garrafa de refrigerante, foi possível encher, completamente, um copo de 360 mL que já continha 2/3 de sua capacidade com esse refrigerante, e ainda sobraram 60 mL de refrigerante na garrafa. Então, a capacidade total dessa garrafa, em litros, é de
Provas
Questão presente nas seguintes provas
Em uma sala de aula, a razão entre meninos e meninas é de 3 para 7, nesta ordem. Em agosto, entraram mais 3 meninos nessa sala, mas uma menina mudou de colégio e isso fez com que a razão entre meninos e meninas agora fosse de 3 para 5. O número total de alunos dessa sala, em agosto, após essas mudanças, passou a ser de
Provas
Questão presente nas seguintes provas
Uma gráfica possui 7 máquinas iguais que produzem juntas, 5 000 cartelas de adesivos em 3 horas. Essa gráfica recebeu uma encomenda de 8 000 cartelas desse adesivo, porém, 2 dessas máquinas não poderão ser utilizadas por estarem em manutenção. Portanto, o tempo necessário para produzir essa encomenda será de
Provas
Questão presente nas seguintes provas
Em um restaurante, a razão entre latinhas de refrigerante e latinhas de cerveja consumidas em um certo dia foi de 7 para 5. Sabendo-se que nesse dia foram consumidas, ao todo, 204 latinhas, então, o número de latinhas de cerveja consumidas foi
Provas
Questão presente nas seguintes provas
Um pacote de figurinhas foi dividido entre um grupo de 15
garotos, conforme mostra a tabela.
Sabendo-se que, na média, cada garoto recebeu 7 figurinhas, então, o valor de X da tabela é
Provas
Questão presente nas seguintes provas
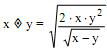
Um aluno criou uma nova operação matemática utilizando o símbolo ◈ do seguinte modo:

o resultado de 18 ◈ 2 será

o resultado de 18 ◈ 2 será
Provas
Questão presente nas seguintes provas
Considere os números reais x e y que satisfazem as seguintes condições:
I. x . y é negativo
II. x > y
Obedecidas essas condições, é possível afirmar que
I. x . y é negativo
II. x > y
Obedecidas essas condições, é possível afirmar que
Provas
Questão presente nas seguintes provas
Em uma padaria, o pão francês sai a cada 3 horas, o pão de queijo a cada 4 horas e o pão recheado a cada 6 horas. Se às 7h da manhã esses 3 tipos de pães saíram, então, eles voltarão a sair junto às
Provas
Questão presente nas seguintes provas
Com 4 tiras de papel retangulares e iguais, foi possível recobrir,
completamente e sem sobras, a tampa retangular de uma
caixa de madeira, conforme mostra a figura.

Sabendo-se que a tampa dessa caixa tem 432 cm2 de área, então, o perímetro de uma tira retangular de papel, em cm, mede

Sabendo-se que a tampa dessa caixa tem 432 cm2 de área, então, o perímetro de uma tira retangular de papel, em cm, mede
Provas
Questão presente nas seguintes provas
Um fio foi esticado e preso entre dois postes verticais, distantes
um do outro 4m, conforme mostra a figura.

O comprimento total desse fio, em metros, é de aproximadamente
(Adote: √2 = 1,4)

O comprimento total desse fio, em metros, é de aproximadamente
(Adote: √2 = 1,4)
Provas
Questão presente nas seguintes provas
Cadernos
Caderno Container