Foram encontradas 50 questões.
Como é cediço no âmbito jurídico, os Atos Administrativos são manifestações de vontades do Estado traduzidas na execução de ações por meios de seus agentes. Tais ações têm como objetivo criar, resguardar, transferir, retirar direitos ou obrigações a si ou a terceiros. Diante desta colocação, assinale a alternativa que corresponde ao regramento doutrinário majoritários acerca dos Atos Administrativos:
Provas
Questão presente nas seguintes provas
Somando a cada elemento do conjunto de dados (7, 8, 5, 1,
9, 8) o valor constante 7, a média aritmética fica acrescida
de:
Provas
Questão presente nas seguintes provas
Sobre os erros de decisão de um teste de hipótese, assinale a
alternativa correta.
Provas
Questão presente nas seguintes provas
As técnicas multivariadas são divididas em dois grupos
(Dependência e Interdependência) que dependem do tipo de
relação que está sendo examinada. A respeito do assunto é
correto afirmar:
Provas
Questão presente nas seguintes provas
Com o objetivo de conhecer o nível de satisfação dos
servidores da Defensoria Pública do Paraná em relação ao
Plano de Carreira, Cargos e Salários (PCCS), foi solicitado a
um Estatístico um levantamento por amostragem. Neste
sentido, qual o tamanho mínimo da amostra (n) admitindo-se
que o erro amostral não ultrapasse 4% (E = 0,04). Considere
N = 800 funcionários.
Provas
Questão presente nas seguintes provas
O governo do Estado do Paraná deseja avaliar as condições de vida dos seus habitantes, e para isso realizou um levantamento do
perfil socioeconômico da população, utilizando informações do Censo Demográfico de 2010, disponibilizadas pelo Instituto de
Geografia e Estatística (IBGE), com intuito de criar um indicador que represente as variáveis originais, obtendo assim uma medida
geral e sintética da condição de vida da população paranaense. Nesse sentido, empregou-se a técnica de Análise Multivariada de
Dados - Análise Fatorial. Diante do exposto e com base na tabela abaixo que apresenta os resultados da Análise Fatorial, é correto afirmar:


Provas
Questão presente nas seguintes provas
Em uma amostra de 200 funcionários públicos da Defensoria
Pública do Estado do Paraná, verificou-se que 80
funcionários tinham habilidades com ferramentas de gestão.
O intervalo de confiança de 95% para a proporção é
respectivamente:
Provas
Questão presente nas seguintes provas
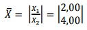
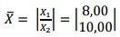
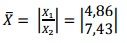
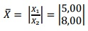
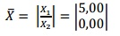
Determine o vetor de médias amostrais do conjunto de
dados abaixo.
X1
4 2 5 3 8 7 5
X2 4 7,5 9 8 5 10 8.5
X1
4 2 5 3 8 7 5
X2 4 7,5 9 8 5 10 8.5
Provas
Questão presente nas seguintes provas
O Estado do Paraná deseja selecionar uma amostra de
domicílios que têm cães e/ou gatos domésticos, com o intuito
de planejar a próxima campanha da vacina antirrábica. Para
isto, foi realizado um plano amostral, em que foi selecionada
amostras dos municípios, em seguida, foi feita amostras dos
bairros de cada município amostrado, e por fim, sorteou-se
quarteirões dos bairros selecionados, tendo em vista que para
estes serão entrevistados todos os domicílios dos quarteirões
sorteados.
Diante desse contexto, qual técnica de amostragem deverá ser
utilizada?
Provas
Questão presente nas seguintes provas
Sobre as características do modelo de regressão linear
simples, analise as sentenças abaixo e assinale a alternativa
correta.
I - O modelo de regressão é linear nos parâmetros ( Yi=β₀+β₁Xi+εi ) II - Homocedasticidade ou variância igual do erro εi III - O número de observações na amostra deve ser inferior ao número de parâmetros do modelo IV – A covariância entre o εi e Xi é zero, ou COV = (εi,Xi)= E(εi,Xi) =0
I - O modelo de regressão é linear nos parâmetros ( Yi=β₀+β₁Xi+εi ) II - Homocedasticidade ou variância igual do erro εi III - O número de observações na amostra deve ser inferior ao número de parâmetros do modelo IV – A covariância entre o εi e Xi é zero, ou COV = (εi,Xi)= E(εi,Xi) =0
Provas
Questão presente nas seguintes provas
Cadernos
Caderno Container