Foram encontradas 60 questões.
- Conceitos e FundamentosPapéis e Responsabilidades do Administrador de Dados (AD)
- Conceitos e FundamentosPapéis e Responsabilidades do DBA
Após a realização do levantamento das necessidades e da análise, com o fim de se obter um controle central e seguro dos dados e programas, resolveu-se empregar uma metodologia de banco de dados relacional. Assinale a alternativa que define o profissional da área de Tecnologia da Informação (TI) que tem a função de implantar o esquema conceitual do banco de dados.
Provas
Questão presente nas seguintes provas
1406301
Ano: 2013
Disciplina: TI - Desenvolvimento de Sistemas
Banca: DIRENS Aeronáutica
Orgão: EEAr
Disciplina: TI - Desenvolvimento de Sistemas
Banca: DIRENS Aeronáutica
Orgão: EEAr
Provas:
- Paradigmas de ProgramaçãoOrientação a ObjetosDefinição Técnica: Orientação a Objetos
- Paradigmas de ProgramaçãoOrientação a ObjetosOrientação a Objetos: Encapsulamento
- Paradigmas de ProgramaçãoOrientação a ObjetosOrientação a Objetos: Herança
- Paradigmas de ProgramaçãoOrientação a ObjetosOrientação a Objetos: Polimorfismo
Marque V para verdadeiro e F para falso a respeito das afirmações sobre Programação Orientada a Objetos. Em seguida, assinale a alternativa que corresponde à sequência correta.
( ) Encapsulamento é a característica da Orientação a Objetos que permite construir partes ocultas da implementação do software, que atinjam uma funcionalidade.
( ) O uso do mecanismo da Herança permite que sua nova classe herde todos os atributos e comportamentos presentes na classe previamente existente.
( ) Todas as linguagens suportam o polimorfismo.
( ) Uma linguagem orientada a objetos considera tudo um objeto.
( ) Os métodos de classe pertencem à classe e não a uma instância específica.
Provas
Questão presente nas seguintes provas
Considere a função a seguir, no BrOffice.org. Calc, e assinale a alternativa que contém o resultado retornado por ela: =SOMA (B5:E5).
Provas
Questão presente nas seguintes provas
A seguir são apresentados comandos utilizados na linguagem SQL, que podem ser usados, por exemplo, no SGBD MySQL.
Relacione as colunas e, em seguida, assinale a alternativa que contém a sequência correta.
| 1 desc <nome_tabela>; | ( ) Utilizado para incluir dados em uma tabela. |
|
2 DROP TABLE <nome_tabela1> [ , <nome_tabela2>, ...]; |
( ) Utilizado para visualizar a estrutura de determinada tabela. |
| 3 show tables; | ( ) Utilizado para excluir tabelas do banco de dados. |
|
4 INSERT INTO <nome_tabela> VALUES (valor1, valor2, ..., valorn); |
( ) Mostra o nome das tabelas criadas. |
Provas
Questão presente nas seguintes provas
1405112
Ano: 2013
Disciplina: TI - Organização e Arquitetura dos Computadores
Banca: DIRENS Aeronáutica
Orgão: EEAr
Disciplina: TI - Organização e Arquitetura dos Computadores
Banca: DIRENS Aeronáutica
Orgão: EEAr
Provas:
Sobre o Hardware do PC, assinale a alternativa correta quanto à definição de barramento.
Provas
Questão presente nas seguintes provas
1404913
Ano: 2013
Disciplina: TI - Desenvolvimento de Sistemas
Banca: DIRENS Aeronáutica
Orgão: EEAr
Disciplina: TI - Desenvolvimento de Sistemas
Banca: DIRENS Aeronáutica
Orgão: EEAr
Provas:
- Fundamentos de ProgramaçãoEstruturas de DadosEstrutura de Dados: Array
- Fundamentos de ProgramaçãoEstruturas de DadosEstrutura de Dados: Matriz
Considerando a matriz bidimensional TABELA [1..8,1..5], assinale a afirmativa correta.
Provas
Questão presente nas seguintes provas
1404015
Ano: 2013
Disciplina: TI - Desenvolvimento de Sistemas
Banca: DIRENS Aeronáutica
Orgão: EEAr
Disciplina: TI - Desenvolvimento de Sistemas
Banca: DIRENS Aeronáutica
Orgão: EEAr
Provas:
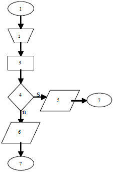
Analise o algoritmo abaixo:

1. Início
2. Ler N1, N2, N3 e N4
3. Calcular !$ \mathsf{M=\dfrac{N1+N2+N3+N4}{4}} !$
4. M > 7
5. Imprimir ‘Aprovado’
6. Imprimir ‘Reprovado’
7. Fim
Considerando as seguintes notas de um aluno:
N1=4,5; N2=6,5; N3=7,5 e N4=9,5 e, ainda, que essas variáveis estão definidas como reais, assinale a alternativa correta:
Provas
Questão presente nas seguintes provas
1403506
Ano: 2013
Disciplina: TI - Organização e Arquitetura dos Computadores
Banca: DIRENS Aeronáutica
Orgão: EEAr
Disciplina: TI - Organização e Arquitetura dos Computadores
Banca: DIRENS Aeronáutica
Orgão: EEAr
Provas:
Considerando Verdadeiro = 1 e Falso = 0, e ainda, utilizando a instrução lógica ‘E’, assinale a opção correta.
Provas
Questão presente nas seguintes provas
Palavras binárias possuem nomenclaturas especiais de acordo com a quantidade de bits e, consequentemente, com o número máximo de possíveis variações que podem ser representadas. Assinale a alternativa que define quantos bits e quantas variações possui uma palavra QUAD WORD.
Provas
Questão presente nas seguintes provas
1401288
Ano: 2013
Disciplina: TI - Desenvolvimento de Sistemas
Banca: DIRENS Aeronáutica
Orgão: EEAr
Disciplina: TI - Desenvolvimento de Sistemas
Banca: DIRENS Aeronáutica
Orgão: EEAr
Provas:
- Fundamentos de ProgramaçãoAlgoritmosConstrução de Algoritmos
- Fundamentos de ProgramaçãoEstruturas de Seleção
- Fundamentos de ProgramaçãoLógica de Programação
- Fundamentos de ProgramaçãoPseudocódigo
Analise o português estruturado a seguir, considerando que todos os funcionários possuem valor de salário definido e válido. Em seguida marque a afirmativa correta.
PROGRAMA REAJUSTE_SALARIAL
Var
Salário_novo: real
Salário: real
Início
Ler salário
Se (salário < 5000) então
Novo_salário ← salário * 1.15
Senão
Se (salário < 10000) então
Novo_salário ← salário * 1.10
Senão
Novo_salário ← salário * 1.05
Fim-se
Fim-se
Gravar Novo_salário
Fim
Var
Salário_novo: real
Salário: real
Início
Ler salário
Se (salário < 5000) então
Novo_salário ← salário * 1.15
Senão
Se (salário < 10000) então
Novo_salário ← salário * 1.10
Senão
Novo_salário ← salário * 1.05
Fim-se
Fim-se
Gravar Novo_salário
Fim
Provas
Questão presente nas seguintes provas
Cadernos
Caderno Container