Foram encontradas 70 questões.
Um ciclo combinado (Brayton e Rankine) é constituído dos seguintes equipamentos:
1 - compressor axial de ar;
2 - combustores acionados a gás natural;
3 - turbina a gás com gerador;
4 - caldeira de recuperação de calor de rejeito;
5 - turbina a vapor d'água;
6 - condensador a água;
7 - bombas;
8 - torre de arrefecimento.
Cinco fluidos circulam pelos equipamentos numerados acima: água interna ao ciclo de Rankine (AG), água de condensação (ACD), ar (AR), gás natural (GN) e produtos da combustão do gás natural (PC).
Abaixo, dois equipamentos são identificados pela sua numeração e são descritos os fluidos, entre os cinco, que percorrem cada um dos equipamentos.
A alternativa INCORRETA é:
Provas
Num ciclo de Rankine, a temperatura máxima atingida pelo vapor d'água é 327ºC e a temperatura mínima da água condensando é 27ºC. Nessas condições o máximo rendimento termodinâmico que poderia ser atingido pelo ciclo é:
Obs: Considere 0ºC = 273 K
Provas
A curva de altura de carga H (em metros) em função da vazão volumétrica Q (em m3/s) de uma bomba centrífuga é dada pela equação H = Ho - AQ2, onde Ho é a altura de carga para Q = 0 e A é uma constante positiva (dimensional). Essa bomba é utilizada para movimentar água de um sistema composto por uma tubulação horizontal e seus acessórios e cuja curva de altura de carga pode ser escrita como H = BQ2, onde B também é uma constante positiva (dimensional). Nessas condições, a vazão e a altura de carga de operação do sistema são, respectivamente:
Provas
Um compressor centrífugo operando em regime permanente com uma vazão mássica de gás de 2 kg/s requer que o motor elétrico forneça uma potência de 5 kW. Supondo que o escoamento é adiabático e que a eficiência total do compressor nessa condição de trabalho é 80%, a variação na entalpia de estagnação específica que o gás sofre é:
Provas
Um ventilador de teto do tipo axial movimenta ar ambiente a uma velocidade de 5 m/s no plano do rotor. A área de passagem do ar pelo rotor é de 1,0 m² e a potência elétrica fornecida ao ventilador é 100 W. Se o rendimento do ventilador é 80%, o aumento de pressão que o ar sofre ao passar pelo rotor do ventilador é:
Provas
As máquinas de fluxo que podem ser citadas como exemplos daquelas em que o fluido absorve trabalho de eixo ao passar pelo rotor da máquina são:
Provas
Uma barra de aço com limite de escoamento de 640 MPa está submetida a uma torção de 10. N.m. Utilizando-se o critério de Coulomb (máximas tensões cisalhantes), e para um diâmetro de 10 mm, o coeficiente de segurança utilizado no projeto é:
Provas
O círculo de Mohr abaixo representa as tensões atuantes em um elemento no estado plano de tensões. Marque falso (F) ou verdadeiro (V) entre os parênteses correspondentes às afirmativas a seguir:

( ) O ponto 2 representa a tensão de cisalhamento máxima atuante no elemento.
( ) Os pontos 5 e 9 representam a tensão de cisalhamento compressiva atuante no elemento.
( ) Os pontos 3 e 8 representam as tensões máximas atuantes no elemento.
( ) Os pontos 1 e 4 representam as tensões principais atuantes no elemento.
A seqüência correta é:
Provas
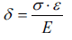
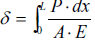
A deformação total de uma barra (
) de comprimento L, submetida a um esforço axial P, cuja área (A) é variável na direção x (direção do carregamento) é dada por:
Provas
O diagrama dos esforços cortantes correspondente à viga mostrada abaixo é:

Provas
Caderno Container