Magna Concursos

Foram encontradas 120 questões.

2462238 Ano: 2013
Disciplina: Química
Banca: CESPE / CEBRASPE
Orgão: ESCS
Provas:

As emissões radioativas são empregadas na radioterapia para destruir células doentes ou impedi-las de se reproduzirem. Em 1987, uma cápsula contendo cloreto de césio-137 foi abandonada junto a um equipamento nas antigas instalações do Instituto Goiano de Radioterapia, em Goiânia. A cápsula foi encontrada e aberta pelo dono de um ferro-velho, o que causou o maior acidente radioativo da história do Brasil.

Considere que o tempo de meia-vida do césio-137 seja igual a trinta anos e que, em 1987, havia 12,0 g do isótopo na cápsula aberta pelo dono do ferro-velho. Com base nessa situação, assinale a opção correta.

 

Provas

Questão presente nas seguintes provas
2462237 Ano: 2013
Disciplina: Química
Banca: CESPE / CEBRASPE
Orgão: ESCS
Provas:

As emissões radioativas são empregadas na radioterapia para destruir células doentes ou impedi-las de se reproduzirem. Em 1987, uma cápsula contendo cloreto de césio-137 foi abandonada junto a um equipamento nas antigas instalações do Instituto Goiano de Radioterapia, em Goiânia. A cápsula foi encontrada e aberta pelo dono de um ferro-velho, o que causou o maior acidente radioativo da história do Brasil.

Suponha que a desintegração radioativa obedeça a uma lei de velocidade de primeira ordem. Considerando tal condição, assinale a opção cujo gráfico representa corretamente a intensidade (I) da emissão radioativa de uma amostra de césio-137 em função do tempo (t).

 

Provas

Questão presente nas seguintes provas
2462236 Ano: 2013
Disciplina: Química
Banca: CESPE / CEBRASPE
Orgão: ESCS
Provas:

As emissões radioativas são empregadas na radioterapia para destruir células doentes ou impedi-las de se reproduzirem. Em 1987, uma cápsula contendo cloreto de césio-137 foi abandonada junto a um equipamento nas antigas instalações do Instituto Goiano de Radioterapia, em Goiânia. A cápsula foi encontrada e aberta pelo dono de um ferro-velho, o que causou o maior acidente radioativo da história do Brasil.

O cloreto de césio é um composto

 

Provas

Questão presente nas seguintes provas
2462235 Ano: 2013
Disciplina: Química
Banca: CESPE / CEBRASPE
Orgão: ESCS
Provas:

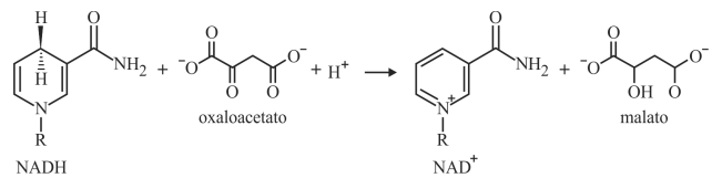
Grande parte das reações que ocorrem nos organismos vivos envolve a transferência de elétrons, a exemplo da reação do oxaloacetato com a coenzima NADH, apresentada a seguir, em que R representa uma cadeia carbônica. Na tabela, são apresentados os potenciais padrão de redução das semirreações envolvidas.

Enunciado 2462235-1

semirreação E0 (V)
NAD+ + H+ + 2e- → NADH -0,320
oxaloacetano + 2H+ + 2e- → malato -0,166

No que se refere à reação apresentada, assinale a opção que apresenta, respectivamente, o potencial elétrico padrão da reação e a função do íon oxaloacetato.

 

Provas

Questão presente nas seguintes provas
2462234 Ano: 2013
Disciplina: Química
Banca: CESPE / CEBRASPE
Orgão: ESCS
Provas:

Grande parte das reações que ocorrem nos organismos vivos envolve a transferência de elétrons, a exemplo da reação do oxaloacetato com a coenzima NADH, apresentada a seguir, em que R representa uma cadeia carbônica. Na tabela, são apresentados os potenciais padrão de redução das semirreações envolvidas.

Enunciado 2462234-1

semirreação E0 (V)
NAD+ + H+ + 2e- → NADH -0,320
oxaloacetano + 2H+ + 2e- → malato -0,166

Com relação à disposição espacial dos átomos nas espécies envolvidas na reação e à luz da Teoria da Repulsão dos Pares de Elétrons de Valência, assinale a opção correta.

 

Provas

Questão presente nas seguintes provas
2462233 Ano: 2013
Disciplina: Química
Banca: CESPE / CEBRASPE
Orgão: ESCS
Provas:

Os carboidratos são a principal fonte de energia para o organismo humano. A reação global de conversão dos açúcares em energia pode ser representada pela equação abaixo.

C6H12O6(s) + 6O2(g) → 6CO2(g) + 6H2O(l) + energia

A seguir, são mostradas as estruturas de cadeia aberta de dois importantes monossacarídeos.

Enunciado 2462233-1

As formas abertas dos monossacarídeos podem sofrer ciclização. A depender do lado em que ocorre o ataque nucleofílico da hidroxila sobre o carbono da carbonila, a ciclização resulta em dois isômeros diferentes, conforme exemplificado abaixo para a d-glicose.

Enunciado 2462233-2

Entalpias padrão de formação (ΔH0f) a 25 ºC

composto

(ΔH0f) (kJ/mol)

C6H12O6(s)

-1.271

CO2(g)

-393,5

H2O(l)

285,8

Com base nas entalpias padrão de formação apresentadas na tabela acima, assinale a opção que corresponde ao valor da entalpia padrão de combustão da glicose a 25 ºC.

 

Provas

Questão presente nas seguintes provas
2462232 Ano: 2013
Disciplina: Química
Banca: CESPE / CEBRASPE
Orgão: ESCS
Provas:

Os carboidratos são a principal fonte de energia para o organismo humano. A reação global de conversão dos açúcares em energia pode ser representada pela equação abaixo.

C6H12O6(s) + 6O2(g) → 6CO2(g) + 6H2O(l) + energia

A seguir, são mostradas as estruturas de cadeia aberta de dois importantes monossacarídeos.

Enunciado 2462232-1

As formas abertas dos monossacarídeos podem sofrer ciclização. A depender do lado em que ocorre o ataque nucleofílico da hidroxila sobre o carbono da carbonila, a ciclização resulta em dois isômeros diferentes, conforme exemplificado abaixo para a d-glicose.

Enunciado 2462232-2

A combustão completa de 270 g de glicose

 

Provas

Questão presente nas seguintes provas
2462230 Ano: 2013
Disciplina: Química
Banca: CESPE / CEBRASPE
Orgão: ESCS
Provas:

Há muitos séculos, a humanidade aprendeu a utilizar as propriedades biológicas de substâncias presentes nas plantas. Por exemplo, no século V a.C., o médico grego Hipócrates relatou que a casca do salgueiro branco (Salix alba) aliviava dores e diminuía a febre. O responsável por essas atividades terapêuticas é o ácido salicílico, gerado pela metabolização, pelas enzimas do fígado, da salicilina presente no salgueiro. O ácido salicílico, apesar de suas propriedades terapêuticas, provoca lesões nas paredes do estômago. Para solucionar esse problema, a molécula foi modificada pelo laboratório alemão Bayer, em 1897, por meio da inserção de um grupo acetil. Assim surgiu o ácido acetilsalicílico, primeiro fármaco sintético empregado na terapêutica e que é hoje o analgésico mais consumido e vendido no mundo. A seguir, são apresentadas as estruturas moleculares da salicilina, do ácido salicílico e do ácido acetilsalicílico.

Enunciado 2462230-1

Na figura abaixo, os hidrogênios presentes na molécula de ácido salicílico são divididos em três tipos, de acordo com a acidez.

Enunciado 2462230-2

Assinale a opção em que se apresenta a acidez desses hidrogênios em ordem crescente.

 

Provas

Questão presente nas seguintes provas
2462229 Ano: 2013
Disciplina: Química
Banca: CESPE / CEBRASPE
Orgão: ESCS
Provas:

Há muitos séculos, a humanidade aprendeu a utilizar as propriedades biológicas de substâncias presentes nas plantas. Por exemplo, no século V a.C., o médico grego Hipócrates relatou que a casca do salgueiro branco (Salix alba) aliviava dores e diminuía a febre. O responsável por essas atividades terapêuticas é o ácido salicílico, gerado pela metabolização, pelas enzimas do fígado, da salicilina presente no salgueiro. O ácido salicílico, apesar de suas propriedades terapêuticas, provoca lesões nas paredes do estômago. Para solucionar esse problema, a molécula foi modificada pelo laboratório alemão Bayer, em 1897, por meio da inserção de um grupo acetil. Assim surgiu o ácido acetilsalicílico, primeiro fármaco sintético empregado na terapêutica e que é hoje o analgésico mais consumido e vendido no mundo. A seguir, são apresentadas as estruturas moleculares da salicilina, do ácido salicílico e do ácido acetilsalicílico.

Enunciado 2462229-1

No pH básico do plasma sanguíneo, a solubilidade do ácido salicílico, que é um ácido fraco,

 

Provas

Questão presente nas seguintes provas
2462228 Ano: 2013
Disciplina: Química
Banca: CESPE / CEBRASPE
Orgão: ESCS
Provas:

Há muitos séculos, a humanidade aprendeu a utilizar as propriedades biológicas de substâncias presentes nas plantas. Por exemplo, no século V a.C., o médico grego Hipócrates relatou que a casca do salgueiro branco (Salix alba) aliviava dores e diminuía a febre. O responsável por essas atividades terapêuticas é o ácido salicílico, gerado pela metabolização, pelas enzimas do fígado, da salicilina presente no salgueiro. O ácido salicílico, apesar de suas propriedades terapêuticas, provoca lesões nas paredes do estômago. Para solucionar esse problema, a molécula foi modificada pelo laboratório alemão Bayer, em 1897, por meio da inserção de um grupo acetil. Assim surgiu o ácido acetilsalicílico, primeiro fármaco sintético empregado na terapêutica e que é hoje o analgésico mais consumido e vendido no mundo. A seguir, são apresentadas as estruturas moleculares da salicilina, do ácido salicílico e do ácido acetilsalicílico.

Enunciado 2462228-1

A constante de ionização do ácido salicílico e a constante de autoionização da água são iguais a 1,0 × 10-3 e 1,0 × 10-14, respectivamente. A ionização do ácido salicílico na água ocorre de acordo com o equilíbrio a seguir, em que HA e A- representam, respectivamente, o ácido salicílico e sua base conjugada.

!$ HA(aq) + H_2O(l) \leftrightharpoons H_3O^+ (aq) + A^- (aq) !$

A partir dessas informações, considerando-se uma solução aquosa com concentração analítica de ácido salicílico igual a 0,010 mol/L, é correto afirmar que

 

Provas

Questão presente nas seguintes provas