Magna Concursos

Foram encontradas 145 questões.

2421099 Ano: 2011
Disciplina: Literatura Brasileira e Estrangeira
Banca: DECEx
Orgão: EsPCEx
Provas:

Sobre a segunda fase do Modernismo no Brasil, é correto afirmar que

 

Provas

Questão presente nas seguintes provas
2421093 Ano: 2011
Disciplina: História
Banca: DECEx
Orgão: EsPCEx
Provas:

Durante o mercantilismo, todos os produtos que chegavam à colônia ou saíam dela tinham que passar pela metrópole, caracterizando assim

 

Provas

Questão presente nas seguintes provas
2421082 Ano: 2011
Disciplina: Química
Banca: DECEx
Orgão: EsPCEx
Provas:

Abaixo são fornecidos os resultados das reações entre metais e sais.

FeSO4(aq) + Ag(s) !$ \longrightarrow !$ não ocorre a reação

2 AgNO3(aq) + Fe(s) !$ \longrightarrow !$ Fe(NO3)2(aq) + 2 Ag(s)

3 Fe(SO4)(aq) + 2 Al(s) !$ \longrightarrow !$ Al2(SO4)3(aq) + 3 Fe(s)

Al2(SO4)3(aq) + Fe (s) !$ \longrightarrow !$ não ocorre a reação

De acordo com as reações acima equacionadas, a ordem decrescente de reatividade dos metais envolvidos em questão é:

 

Provas

Questão presente nas seguintes provas
2420984 Ano: 2011
Disciplina: Raciocínio Lógico
Banca: DECEx
Orgão: EsPCEx
Provas:

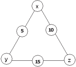
A figura abaixo é formada por um dispositivo de forma triangular em que, nos vértices e nos pontos médios dos lados, estão representados alguns valores, nem todos conhecidos. Sabe-se que a soma dos valores correspondentes a cada lado do triângulo é sempre 24.

Enunciado 3054741-1

Assim, o valor numérico da expressão x-y·z é

 

Provas

Questão presente nas seguintes provas
2420858 Ano: 2011
Disciplina: Geografia
Banca: DECEx
Orgão: EsPCEx
Provas:

Sobre as reservas e a utilização dos recursos hídricos no Brasil e no Mundo, podemos afirmar que:

I- a água doce dos rios e dos lagos de todo o planeta é responsável pela maior parte da água doce da Terra.
II- no mundo inteiro, mais de 1,5 bilhão de pessoas dependem principalmente da água de reservas subterrâneas para suprir suas necessidades básicas.
III- apesar de grande parte do Estado de São Paulo situar-se sobre o Aquífero Guarani, o sistema de abastecimento do Estado não utiliza fontes subterrâneas.
IV- as calotas polares e as geleiras são as mais importantes, em termos quantitativos, reservas de água doce de nosso planeta.

Assinale a alternativa que apresenta todas as afirmativas corretas:

 

Provas

Questão presente nas seguintes provas
2420844 Ano: 2011
Disciplina: Física
Banca: DECEx
Orgão: EsPCEx
Provas:

Um gás ideal sofre uma compressão isobárica sob a pressão de 4·103 N/m2 e o seu volume diminui 0,2 m3. Durante o processo, o gás perde 1,8·103 J de calor. A variação da energia interna do gás foi de:

 

Provas

Questão presente nas seguintes provas
2420842 Ano: 2011
Disciplina: Física
Banca: DECEx
Orgão: EsPCEx
Provas:

A pressão (P) no interior de um líquido homogêneo, incompressível e em equilíbrio, varia com a profundidade (X) de acordo com o gráfico abaixo.

Enunciado 3048291-1

Considerando a aceleração da gravidade igual a 10 m/s2, podemos afirmar que a densidade do líquido é de:

 

Provas

Questão presente nas seguintes provas
2420678 Ano: 2011
Disciplina: Português
Banca: DECEx
Orgão: EsPCEx
Provas:

Quando a intenção do emissor está voltada para a própria mensagem, quer na seleção e combinação das palavras, quer na estrutura da mensagem, com as mensagens carregadas de significados, temos a função de linguagem denominada

 

Provas

Questão presente nas seguintes provas
2420482 Ano: 2011
Disciplina: Matemática
Banca: DECEx
Orgão: EsPCEx
Provas:

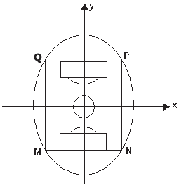
Num estádio de futebol em forma de elipse, o gramado é o retângulo MNPQ, inscrito na cônica, conforme mostra a figura. Escolhendo o sistema de coordenadas cartesianas indicado e tomando o metro como unidade, a elipse é descrita pela equação !$ {\large{x^2 \over 36^2}}+{\large{y^2 \over 60^2}}=1 !$. Sabe-se também que os focos da elipse estão situados em lados do retângulo MNPQ.

Enunciado 3034176-1

Assim, a distância entre as retas MN e PQ é

 

Provas

Questão presente nas seguintes provas
2420476 Ano: 2011
Disciplina: Inglês (Língua Inglesa)
Banca: DECEx
Orgão: EsPCEx
Provas:

Leia o trecho abaixo e responda a questão.

Life and the Movies

Joey Potter looked at her friend Dawson Leery and she smiled sadly.

“Life isn’t like a movie, Dawson,” she said. “We can’t write happy endings to all our relationships.”

Joey was a pretty girl with long brown hair. Both Joey and Dawson were nearly sixteen years old. The two teenagers had problems. All teenagers have the same problems - life, love, school work, and parents. It isn’t easy to become an adult.

Dawson loved movies. He had always loved movies. He took film classes in school. He made short movies himself. Dawson wanted to be a film director. His favorite director was Steven Spielberg. Dawson spent a lot of his free time filming with his video camera. He loved watching videos of great movies from the past. Most evenings, he watched movies with Joey.

“These days, Dawson always wants us to behave like people in movies,” Joey thought. And life in the little seaside town of Capeside wasn’t like the movies.

Joey looked at the handsome, blond boy who was sitting next to her. She thought about the years of their long friendship. They were best friends...

ANDERS, C. J. Retold by CORNISH, F. H. Dawson’s Creek. Shifting into overdrive. Oxford, Macmillan, 2005.

According to the text, “The two teenagers had problems” because

 

Provas

Questão presente nas seguintes provas