Magna Concursos

Foram encontradas 49 questões.

321239 Ano: 2010
Disciplina: Matemática
Banca: DECEx
Orgão: EsSA

Sabe-se que 1, a e b são raízes do polinômio p(x) = x3 – 11x2 + 26x – 16, e que a > b. Nessas condições, o valor de ab+ logb a é:

 

Provas

Questão presente nas seguintes provas
315431 Ano: 2010
Disciplina: Matemática
Banca: DECEx
Orgão: EsSA

A medida do raio de uma circunferência inscrita em um trapézio isósceles de bases 16 e 36 é um número

 

Provas

Questão presente nas seguintes provas
314547 Ano: 2010
Disciplina: História
Banca: DECEx
Orgão: EsSA

No contexto da expansão marítima, que levou os europeus a encontrar a América, Portugal destacou-se como pioneiro das grandes navegações do século XV. Entre os muitos fatores que contribuíram para o pioneirismo português, destacam-se:

 

Provas

Questão presente nas seguintes provas
314118 Ano: 2010
Disciplina: Matemática
Banca: DECEx
Orgão: EsSA

Uma pessoa deseja totalizar a quantia de R$ 600,00 utilizando cédulas de um, dez e vinte reais, num total de 49 cédulas, de modo que a diferença entre as quantidades de cédulas de dez e de um real seja igual a nove unidades. Nesse caso, a quantidade de cédulas de vinte reais de que a pessoa precisará será igual a:

 

Provas

Questão presente nas seguintes provas
311729 Ano: 2010
Disciplina: História
Banca: DECEx
Orgão: EsSA

Durante o governo de Marechal Deodoro da Fonseca, seu ministro da fazenda, Rui Barbosa, adotou uma série de medidas econômicas que ficou conhecida como “encilhamento”. Essa política econômica estatal estava baseada em duas ações:

 

Provas

Questão presente nas seguintes provas
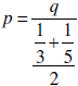
308605 Ano: 2010
Disciplina: Matemática
Banca: DECEx
Orgão: EsSA

Se, Enunciado 308605-1 sendo p e q números inteiros positivos primos entre si, calcule pq.

 

Provas

Questão presente nas seguintes provas
303066 Ano: 2010
Disciplina: Português
Banca: DECEx
Orgão: EsSA

O recurso sonoro utilizado na composição de poemas que consiste na repetição de um mesmo fonema consonantal é:

 

Provas

Questão presente nas seguintes provas
303031 Ano: 2010
Disciplina: Estatística
Banca: DECEx
Orgão: EsSA

Numa sala de aula, a média das idades dos 50 alunos era de 22,5 anos. No cálculo da média, foram consideradas idades com anos completos. Transcorridas algumas semanas, houve a desistência de um aluno e a média das idades caiu para 22 anos. Considerando-se que nesse período nenhum dos alunos da turma fez aniversário, então a idade do aluno que desistiu é igual a:

 

Provas

Questão presente nas seguintes provas
301336 Ano: 2010
Disciplina: Matemática
Banca: DECEx
Orgão: EsSA

O número mínimo de termos que deve ter a PA (73, 69, 65, …) para que a soma de seus termos seja negativa é

 

Provas

Questão presente nas seguintes provas
301000 Ano: 2010
Disciplina: Português
Banca: DECEx
Orgão: EsSA

Escolha a alternativa em que o emprego do verbo ou da locução verbal na frase não corresponde à norma culta da Língua Portuguesa.

 

Provas

Questão presente nas seguintes provas