Magna Concursos

Foram encontradas 30 questões.

4037725 Ano: 2026
Disciplina: Engenharia Elétrica
Banca: FACAPE
Orgão: FACAPE
Provas:
A distribuição equilibrada em um circuito elétrico trifásico utilizado para iluminação pública é importante, pois:
 

Provas

Questão presente nas seguintes provas
4037724 Ano: 2026
Disciplina: Eletroeletrônica
Banca: FACAPE
Orgão: FACAPE
Provas:
Analise as afirmativas a seguir sobre a instalação de alto-falantes em eventos públicos e julgue os itens:
I. Microfones não precisam de cuidados com aterramento.
II. Deve-se evitar passar cabos de áudio junto a cabos de energia para reduzir interferências.
III. O eletricista deve verificar a impedância dos alto-falantes antes de conectá-los ao amplificador.
 

Provas

Questão presente nas seguintes provas
4037723 Ano: 2026
Disciplina: Eletroeletrônica
Banca: FACAPE
Orgão: FACAPE
Provas:
Na iluminação pública são utilizados relés fotoelétricos, que têm como função:
 

Provas

Questão presente nas seguintes provas
4037722 Ano: 2026
Disciplina: Eletroeletrônica
Banca: FACAPE
Orgão: FACAPE
Provas:
O eletricista José, durante uma inspeção de uma instalação elétrica antiga, identificou condutores com isolamento ressecado. A forma CORRETA de solucionar esse problema é:
 

Provas

Questão presente nas seguintes provas
4037721 Ano: 2026
Disciplina: Administração de Recursos Materiais
Banca: FACAPE
Orgão: FACAPE
Provas:
Analise as afirmativas a seguir sobre o suprimento de peças e materiais e em seguida julgue os itens CORRETOS.
I. A manutenção de estoque de maneira adequada colabora para evitar atrasos nos serviços.
II. Materiais de qualidade inferior baixam os custos da empresa aumentam a segurança.
III. Materiais de boa qualidade influenciam a durabilidade da instalação.
É CORRETO o que se afirma em:
 

Provas

Questão presente nas seguintes provas
4037524 Ano: 2026
Disciplina: Matemática
Banca: FACAPE
Orgão: FACAPE
Provas:
Ao ser efetuada a divisão 4.653 ÷ 1,5, o resultado CORRETO obtido será:
 

Provas

Questão presente nas seguintes provas
4037523 Ano: 2026
Disciplina: Matemática
Banca: FACAPE
Orgão: FACAPE
Provas:
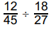
A forma simplificada da divisão das frações Enunciado 4450663-1 é:
 

Provas

Questão presente nas seguintes provas
4037522 Ano: 2026
Disciplina: Matemática
Banca: FACAPE
Orgão: FACAPE
Provas:
Três amigos resolveram comprar o bilhete para concorrerem ao prêmio de R$ 300,00 que estava sendo oferecido por uma instituição beneficente. Para a compra do bilhete, o primeiro contribuiu com R$ 2,00, o segundo com R$ 4,00 e o terceiro com R$ 6,00. Se ganharem o prêmio e se for feita a divisão em partes diretamente proporcionais ao que cada um deles contribuiu, os respectivos valores que caberão a cada um deles serão:
 

Provas

Questão presente nas seguintes provas
4037521 Ano: 2026
Disciplina: Matemática
Banca: FACAPE
Orgão: FACAPE
Provas:
Durante uma corrida, o carro vencedor foi aquele que cumpriu todo o trajeto em duas horas. Com isso a sua velocidade média desenvolvida em todo o percurso foi de 125 km/h. O segundo colocado levou meia hora a mais que o primeiro para cumprir o trajeto da corrida. Portanto, a velocidade média do segundo colocado foi:
 

Provas

Questão presente nas seguintes provas
4037520 Ano: 2026
Disciplina: Raciocínio Lógico
Banca: FACAPE
Orgão: FACAPE
Provas:
A brincadeira do quadrado mágico consiste em distribuir os algarismos 1, 2, 3, 4, 5, 6, 7, 8 e 9, nos quadrados menores, sem repiti-los, de forma que a soma dos valores de cada linha, ou de cada coluna ou de cada diagonal seja sempre a mesma. No quadrado mágico abaixo, alguns algarismos foram substituídos pelas letras A, B e C.
Enunciado 4450660-1
Os valores de A, B e C são, respectivamente:
 

Provas

Questão presente nas seguintes provas