Foram encontradas 50 questões.
Suponha que em um povoado não haja movimentos migratórios. Nesse povoado, no ano de
2012, a população era de 10600 habitantes e, em 2016, era de 15352 habitantes. Considerando
as informações, é correto afirmar que a taxa de crescimento anual nesse período é de
aproximadamente
Provas
Questão presente nas seguintes provas
Na análise de dados multivariados, geralmente é necessário calcular distâncias estatísticas
entre dois vetores. Tais distâncias estatísticas são conhecidas por distâncias de Mahalanobis.
A respeito da distância de Mahalanobis, é correto afirmar que
Provas
Questão presente nas seguintes provas
A utilização correta das técnicas de análise exploratória de dados depende da natureza de
mensuração das variáveis de interesse. Selecione entre as seguintes técnicas aquela na
qual “as variáveis são medidas em classes, mas não é possível estabelecer ordem”.
Provas
Questão presente nas seguintes provas
Certa doença ocorre em uma população na proporção de uma vítima a cada 100 pessoas que
contraem essa doença. Uma Secretaria de Saúde põe em funcionamento um programa de
prevenção a tal doença. Para isso, propõe-se a utilizar um aparelho de análise que resulta
em teste positivo com probabilidade de 0,98 para uma pessoa com a doença, e 0,10 para uma
pessoa que não tenha contraído a doença. Nesse caso, a probabilidade de que uma pessoa
com teste positivo tenha realmente a doença é
Provas
Questão presente nas seguintes provas
A técnica de amostragem utilizada quando a população divide-se em subpopulações
razoavelmente homogêneas é a
Provas
Questão presente nas seguintes provas
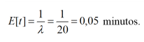
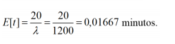
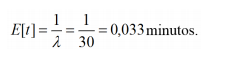
A central de atendimento aos consumidores de uma grande loja inicia o atendimento às
8:00h. As chamadas chegam conforme um processo de Poisson, com uma taxa de 1200
chamadas por hora. Às 8h:01min já haviam chegado 30 chamadas. Qual é o tempo médio
entre chamadas?
Provas
Questão presente nas seguintes provas
Em um modelo de regressão linear simples, pela análise dos resíduos, é possível verificar a
validade do ajuste. Uma informação importante é a estimativa da variância residual. Nesse
caso, o estimador da variância residual é dado por
Provas
Questão presente nas seguintes provas
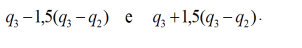
O Box plot é um diagrama construído com as informações contidas no esquema de cinco
números. Uma caixa é construída com o nível superior dado pelo terceiro quartil (q3) e o nível
inferior pelo primeiro quartil (q1). A mediana (q2) é representada por um traço no interior da
caixa, e segmentos de reta são colocados da caixa até os valores máximo e mínimo, que não
sejam observações discrepantes. As observações discrepantes são valores que excedem a
Provas
Questão presente nas seguintes provas

Para a Tabela de frequências do número de filhos dada na questão anterior, n°49, as medidas separatrizes: quartil 1, quartil 2 e quartil 3 são, respectivamente:
Provas
Questão presente nas seguintes provas
- Estatística DescritivaDistribuições de Frequências
- Estatística DescritivaMedidas de Tendência Central
Uma amostra de tamanho n=50 de famílias de uma região foi selecionada com o objetivo de estimar o número de filhos por família, e a tabela a seguir apresenta a distribuição de frequências dos dados observados:

Nesse caso, a média, a mediana e a moda do número de filhos são, respectivamente:
Provas
Questão presente nas seguintes provas
Cadernos
Caderno Container