Foram encontradas 50 questões.
Um cubo maciço de madeira de 10 cm de aresta pesa 400 g.
Outro cubo maciço da mesma madeira com 15 cm de aresta pesa, em gramas:
Provas
Observe os valores decimais contidos na tabela a seguir:
|
13,46 |
21,7 | 9,32 |
16,13 |
|
17,26 |
15,01 | 31,3 |
41,1 |
|
12,8 |
24,5 | 14,87 |
19,0 |
|
29,32 |
6,99 | 8,7 |
22,08 |
O maior número inteiro que é menor do que todos os valores contidos na tabela é
Provas
Considere a sequência de números inteiros a seguir, que mantém sempre o mesmo padrão de formação:
1, 3, –2, 5, 7, –4, 9, 11, –6, 13, 15, –8, 17, ...
Os três próximos números nessa sequência são
Provas
Walter é médico e Mônica é enfermeira. Os dois trabalham em um mesmo hospital. Walter dá plantão de 4 em 4 dias e Mônica dá plantão de 3 em 3 dias.
Os dois deram plantão juntos em um determinado domingo.
A partir desse domingo, a primeira vez que os dois voltarão a dar plantão juntos acontecerá em
Provas
Joana tinha R$ 47,00, Júlio tinha R$ 36,00 e José tinha R$ 76,00.
José deu determinadas quantias em reais para Joana e para Júlio, de modo que os três ficaram com exatamente a mesma quantia em reais.
É verdade que José
Provas
O gráfico a seguir mostra as porcentagens anuais de doadores de sangue por faixa etária, em um posto de coleta.

Pela leitura do gráfico conclui-se que, anualmente,
Provas
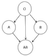
A figura a seguir mostra a compatibilidade entre doadores e receptores de sangue de grupos sanguíneos diferentes, onde as setas utilizadas partem de doadores e chegam a receptores, isto é, as setas mostram “quem pode doar a quem”.

Camila, Diogo, Paula e Rodrigo são quatro amigos que possuem tipos de sangue diferentes entre si, isto é, não há dois deles com o mesmo tipo de sangue.
Sabe-se que, entre eles:
\( \bullet \) Camila só pode receber sangue de Rodrigo;
\( \bullet \) Paula pode doar sangue para Diogo, mas não pode doar para Camila.
É obrigatoriamente verdade que
Provas
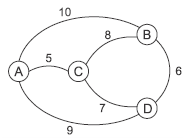
Quatro lugares A, B, C e D estão interligados, sendo possível ir diretamente de qualquer um deles a qualquer outro.
Os comprimentos dos caminhos entre eles, em quilômetros, estão representados na figura a seguir:

Carlos está no lugar A e precisa passar uma única vez em cada um dos outros três lugares para coletar malotes e voltar para A.
O menor caminho que ele pode percorrer mede
Provas
Para se calcular o volume de sangue, em litros, no corpo de uma mulher adulta com altura H, em metros, e peso P, em quilogramas, usa-se a fórmula:
\( V \, = \, 0,3561 \, \times \, H^3 \, + \, 0,03308 \, \times \, P \, + \, 0,1833 \)
A expressão que nos dá esse volume de sangue em mililitros quando H é dado em centímetros e P em quilogramas é:
Provas
O logotipo de uma empresa foi construído a partir de um quadrado ABCD de lado 6cm, conforme se vê na figura.

O ponto M é o ponto médio do lado AB e O é o ponto de encontro das diagonais do quadrado.
A área do quadrilátero MDOC, em cm2, é
Provas
Caderno Container