Magna Concursos

Foram encontradas 24 questões.

1708383 Ano: 2008
Disciplina: Matemática
Banca: UPENET/IAUPE
Orgão: HEMOPE
Provas:

Joaquim emprestou 1/5 de seu salário para o seu tio. Se o salário de Joaquim é R$ 2.000,00, qual o valor emprestado por ele ao seu tio?

 

Provas

Questão presente nas seguintes provas
1708382 Ano: 2008
Disciplina: Matemática
Banca: UPENET/IAUPE
Orgão: HEMOPE
Provas:

João e José estão construindo um telhado. Uma viga de 36 m de comprimento deve ser dividida em quatro partes iguais. Quanto mede, em cm, cada pedaço desta divisão?

 

Provas

Questão presente nas seguintes provas
1708381 Ano: 2008
Disciplina: Matemática
Banca: UPENET/IAUPE
Orgão: HEMOPE
Provas:

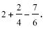
Dois funcionários do Hemope resolvem uma questão de matemática proposta pelo filho de um deles. Resolva a expressão: enunciado 1708381-1 Assinale a alternativa que corresponde ao resultado encontrado por eles.

 

Provas

Questão presente nas seguintes provas
1708380 Ano: 2008
Disciplina: Português
Banca: UPENET/IAUPE
Orgão: HEMOPE
Provas:

Leia a tira abaixo.

enunciado 1708380-1

É CORRETO afirmar.
 

Provas

Questão presente nas seguintes provas
1708379 Ano: 2008
Disciplina: Português
Banca: UPENET/IAUPE
Orgão: HEMOPE
Provas:

Lendo o texto: Nós, pernambucanos, temos orgulho de termos um pólo médico que se destaca no cenário nacional, o que eleva o nosso estado., você conclui que

I. Nós é pronome pessoal.

II. nosso é pronome possessivo.

III. o verbo temos concorda com o pronome nós.

IV. o verbo eleva é regular.

Estão CORRETAS

 

Provas

Questão presente nas seguintes provas
1708378 Ano: 2008
Disciplina: Português
Banca: UPENET/IAUPE
Orgão: HEMOPE
Provas:

Que alternativa abaixo preenche CORRETAMENTE as lacunas das afirmativas?

Os municípios pernambucanos ___________ assistidos pela Fundação HEMOPE com transparência e credibilidade.

Os pernambucanos _________ orgulho em terem o primeiro hemocentro do país.

A Fundação HEMOPE _________ prestado serviço à população pernambucana com qualidade e segurança.

Há 30 anos, __________ concebida a Fundação de Hematologia e Hemoterapia de Pernambuco.

 

Provas

Questão presente nas seguintes provas
1708377 Ano: 2008
Disciplina: Português
Banca: UPENET/IAUPE
Orgão: HEMOPE
Provas:

Analisando-se o trecho: "Hoje a Fundação HEMOPE é responsável pela realização de expressivo volume de procedimentos médicos...", é INCORRETO afirmar.

 

Provas

Questão presente nas seguintes provas
1708376 Ano: 2008
Disciplina: Português
Banca: UPENET/IAUPE
Orgão: HEMOPE
Provas:
Das frases abaixo, qual expressa um pedido?
 

Provas

Questão presente nas seguintes provas
1708375 Ano: 2008
Disciplina: Português
Banca: UPENET/IAUPE
Orgão: HEMOPE
Provas:

No texto "...de modo ágil e moderno...", o adjetivo ágil tem corretamente o seu plural em ágeis. Observe os pares abaixo.

I. Criação/criações.

II. País/países.

III. Lugar/lugares.

IV. Papel/papéis.

V. Bem/bens.

As correspondências entre o singular e o plural foram feitas adequadamente em
 

Provas

Questão presente nas seguintes provas
1708374 Ano: 2008
Disciplina: Português
Banca: UPENET/IAUPE
Orgão: HEMOPE
Provas:

A expressão "Ao longo desses 30 anos,..." pode ser substituída sem alteração de sentido por

 

Provas

Questão presente nas seguintes provas