Magna Concursos

Foram encontradas 60 questões.

4045710 Ano: 2026
Disciplina: Matemática
Banca: FGV
Orgão: IBGE
Considere 1,4 como uma aproximação para √2. Diante de tal consideração, verifica-se que o número 3 √2 está compreendido entre
 

Provas

Questão presente nas seguintes provas
4045709 Ano: 2026
Disciplina: Raciocínio Lógico
Banca: FGV
Orgão: IBGE

Suponha as seguintes premissas:

• Se o teatro não é grande, nem chique, então o cinema não é pequeno, nem pobre.


• O cinema é pequeno.


• O teatro não é chique.

Portanto, é correto deduzir que

 

Provas

Questão presente nas seguintes provas
4045708 Ano: 2026
Disciplina: Raciocínio Lógico
Banca: FGV
Orgão: IBGE

Uma turma possui 45 estudantes, dentre os quais apenas 18 são do sexo masculino e, no mínimo, 30 estudantes possuem 18 anos ou mais.

Portanto, o número de estudantes dessa turma que são do sexo feminino, e possuem menos de 18 anos, é

 

Provas

Questão presente nas seguintes provas
4045707 Ano: 2026
Disciplina: Raciocínio Lógico
Banca: FGV
Orgão: IBGE
Em um Instituto de Pesquisa, um projeto de recenseamento é bem-sucedido quando, e apenas quando, todos os agentes do instituto estão envolvidos. Portanto, em tal Instituto, um projeto de recenseamento não é bem-sucedido quando, e apenas quando,
 

Provas

Questão presente nas seguintes provas
4045706 Ano: 2026
Disciplina: Matemática
Banca: FGV
Orgão: IBGE

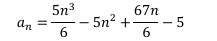
O termo geral de uma sequência é dado por:

Enunciado 4987359-1

O termo a₄ dessa sequência é

 

Provas

Questão presente nas seguintes provas
4045705 Ano: 2026
Disciplina: Matemática
Banca: FGV
Orgão: IBGE
Uma equipe de 60 agentes conclui um serviço de coleta de dados em uma determinada região, no período de cinco dias. Considere que quaisquer agentes sempre trabalham em um mesmo ritmo.
Diante de tal consideração, a quantidade de agentes que devem ser adicionados à equipe, para que o mesmo serviço possa ser finalizado em dois dias, é
 

Provas

Questão presente nas seguintes provas
4045704 Ano: 2026
Disciplina: Matemática
Banca: FGV
Orgão: IBGE
João e Maria estão em um grande terreno quadrado, cujo perímetro mede 500 metros.
A maior distância que João e Maria podem estar um do outro mede
 

Provas

Questão presente nas seguintes provas
4045703 Ano: 2026
Disciplina: Raciocínio Lógico
Banca: FGV
Orgão: IBGE
Considere a seguinte premissa:
Se Maria não foi ao teatro, nem foi ao cinema, então João perdeu a aposta e não teve onde ficar.
Portanto, o fato de João não ter perdido a aposta e Maria não ter ido ao cinema é suficiente para garantir que
 

Provas

Questão presente nas seguintes provas
4045702 Ano: 2026
Disciplina: Matemática
Banca: FGV
Orgão: IBGE

A medida da duração de um evento, em hora, é

Enunciado 4987355-1

Se o dobro de tal medida for convertido para segundo, obtêm-se

 

Provas

Questão presente nas seguintes provas
4045701 Ano: 2026
Disciplina: Matemática
Banca: FGV
Orgão: IBGE
A figura a seguir mostra, à esquerda, uma caixa em forma de paralelepípedo. A caixa será modificada, de modo a permanecer com a forma de um paralelepípedo, mas com comprimento, largura e altura reduzidos em 10% cada, relativamente às dimensões da caixa original. 

                         Enunciado 4987354-1

O volume da caixa modificada corresponde ao seguinte percentual do volume da caixa original:
 

Provas

Questão presente nas seguintes provas