Foram encontradas 50 questões.
Nesse primeiro triângulo, temos AB = 3, AC = 4 e BÂC = 30°. Movimentando-se a vareta AB, de forma que BÂC = 150°, gera-se um segundo triângulo.
A razão correta entre a área do primeiro triângulo e a do segundo triângulo é um número
Provas
Observe o triângulo na figura a seguir.

Esse triângulo possui os vértices nos pontos A = (0, 0); B = (4, 0) e C = (0, 3), sendo AD a altura relativa a CB.
A área do triângulo ACD está corretamente indicada em
Provas
Considere as seguintes funções:

Sobre elas, avalie o que se afirma a seguir.
I- Como f(x) = g(x) = h(x) ∀ x ∈ ℝ - {2}, o gráfico das três funções será o mesmo para x ∈ ℝ;
II- Como o numerador de h(x) é do segundo grau, essa função pode ser considerada uma função quadrática.
III- g(x) e h(x) possuem descontinuidade removível.
IV- Se o domínio das três funções for ℝ_ , todas elas possuem valor máximo.
Está correto apenas o que se afirma em
Provas
Considere a função real f definida por f(x) = 7x5 - 4 / x5 - 1
Sobre f é correto afirmar que
Provas
Uma expressão que determina a medida do segmento CG está corretamente indicada em
Provas
Nessas condições, é correto afirmar que o raio do furo corresponde a um percentual (%) do raio do cilindro inicial entre
Provas
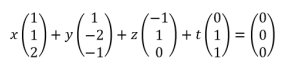
Considere o sistema homogêneo de equações lineares, de incógnitas x, y, z e t, a seguir.

Sendo assim, é correto afirmar que a dimensão do espaço solução desse sistema é igual a
Provas
É correto afirmar que o número médio de estrangeiros que desembarcaram diariamente nesse aeroporto, na semana em que houve o levantamento, é mais próximo de
Provas
Na figura, o triângulo equilátero ABC está inscrito na circunferência de centro O e raio r.

A área do triângulo ACD, em função de r, é dada corretamente por
Provas
Observe a matriz mencionada.
Cada pedágio custa R$ 15,00 na estrada que liga as cidades 1 e 2. Entre as cidades 2 e 3, o preço de cada pedágio é R$ 12,00. Entre as cidades 1 e 3, cada pedágio custa R$ 10,00.
Nesse contexto, qual foi o custo com pedágios, em real, nessa empresa, no mês representado em Tij?
Provas
Caderno Container