Magna Concursos

Foram encontradas 40 questões.

1999611 Ano: 2020
Disciplina: Matemática
Banca: IF-MT
Orgão: IF-MT
Provas:

Dada a função real enunciado 105092-1 é dado por:

 

Provas

Questão presente nas seguintes provas
1999610 Ano: 2020
Disciplina: Matemática
Banca: IF-MT
Orgão: IF-MT
Provas:

Sobre a transformação linear T : M (2,2) → ℝ4 , dada por

enunciado 105091-1

É CORRETO dizer que:

 

Provas

Questão presente nas seguintes provas
1999609 Ano: 2020
Disciplina: Matemática
Banca: IF-MT
Orgão: IF-MT
Provas:

Considere M uma matriz quadrada de ordem 4, cujos elementos são números reais. Se det(M) = 0 , ou seja,

enunciado 105090-1

Pode-se afirmar que o resultado da equação é:

 

Provas

Questão presente nas seguintes provas
1999608 Ano: 2020
Disciplina: Matemática
Banca: IF-MT
Orgão: IF-MT
Provas:

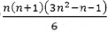
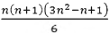
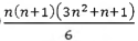
Considere n ∈ ℕ , n ≥ 1 . O valor de S pode ser dado por:

S = 1 .12 + 3.22 + 5.32 + 7.42 + ••• + (2. n - 1). n2

 

Provas

Questão presente nas seguintes provas
1999607 Ano: 2020
Disciplina: Matemática
Banca: IF-MT
Orgão: IF-MT
Provas:
O resultado da integral indefinida ∫ sen4(x) cos4 (x) dx é:
 

Provas

Questão presente nas seguintes provas
1999606 Ano: 2020
Disciplina: Matemática
Banca: IF-MT
Orgão: IF-MT
Provas:
O valor de m0 em ℝ para o qual a solução x(t) do problema de valor inicial x" + 2x' - 3x = 0, x(0) = 0, x'(0) =m0, satisfaz x(1) = 1/e3, é:
 

Provas

Questão presente nas seguintes provas
1999605 Ano: 2020
Disciplina: Matemática
Banca: IF-MT
Orgão: IF-MT
Provas:
O resultado da integral indefinida ∫3 e5x cos(x)dx é:
 

Provas

Questão presente nas seguintes provas
1999604 Ano: 2020
Disciplina: Matemática
Banca: IF-MT
Orgão: IF-MT
Provas:

O número de soluções pertencentes ao conjunto ℤ+, ou seja, inteiras não-negativas, da equação abaixo é:

x + y + z + w + t = 17

 

Provas

Questão presente nas seguintes provas
1999603 Ano: 2020
Disciplina: Matemática
Banca: IF-MT
Orgão: IF-MT
Provas:
As equações dos lados de um quadrilátero são: r :3x — 8y + 36 = 0, s: x + y -10 = 0. t : 3x — 8y — 19 = 0 e h : x + y + 1 = 0. É correto afirmar que o quadrilátero é um paralelogramo com vértices:
 

Provas

Questão presente nas seguintes provas
1999602 Ano: 2020
Disciplina: Português
Banca: IF-MT
Orgão: IF-MT
Provas:

enunciado 105083-1

Disponível em:< https://www.google.com/search?q=o+que+tem+de+errado+com+nneii+ nnicroon>. Acesso em: 29/08/2019.

O texto IV traz um exemplo de vocábulo que, em conformidade com a norma padrão da língua portuguesa, deve ser grafado com hífen. De forma semelhante, devem ser escritas com hífen as palavras:

 

Provas

Questão presente nas seguintes provas