Foram encontradas 40 questões.
Provas
Leonhard Paul Euler foi um grande matemático e físico que viveu no Século XVIII. Euler fezimportantes descobertas no conjunto dos Números Complexos. Uma delas foi a fórmula:
eiθ = cos (θ) + i sen (θ)
Onde, θ é um número real qualquer e i= √−1 é a unidade imaginária. Assim:
Provas
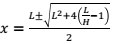
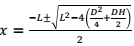
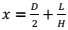
No projeto de veículos off-road, é necessário considerar a incapacidade do carro conseguir ultrapassar obstáculos. Um tipo de incapacidade é chamado de nose-in e ocorre quando o veículo desce em uma rampa e o parachoque dianteiro toca o chão. A figura abaixo mostra os parâmetros associados com a falha nose-in do veículo:

Considerando L > H e α o ângulo de referência, para ocorrer a incapacidade nose-in, amedida de x deve ser:
Provas
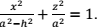
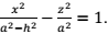
A aquisição de dados sísmicos na presença de afastamento entre fonte e receptor tem, ao longo dos anos, assumido configurações diversas. A mais característica delas corresponde a um experimento físico constituído de uma fonte de energia S, cujo acionamento dá origem ao sinal registrado através de um receptor G. A mais simples configuração de aquisição sísmica é linear, ou seja, S e G são posicionados na superfície, eixo X, e as coordenadas do ponto médio entre S e G iguais a zero, como mostra a figura abaixo:

Dessa maneira, as coordenadas de S são (−h, 0) e de G são (h, 0). Considerando 2a = RS + RG constante, a equação do lugar geométrico de um ponto refletor P = (x ,y), em subsuperfície, é:
Provas
da primeira fonte de calor.
De maneira análoga, distribui-se os termômetros a partir da posição
do primeiro
termômetro. Como So e To são matrizes 2x1, todas as outras posições das fontes de calor e dos
termômetros podem ser encontradas, respectivamente, pelas equações matriciais:S = So + Csds e T = To + CTdT
Onde, CS e CT são matrizes 2x2 e são chamadas de matrizes de configuração. As matrizes 2x1
são chamadas de matrizes de deslocamento. Assim, um experimento com
uma única fonte e vários termômetros terá as seguintes matrizes de configuração:Provas
Uma estudante tem 200 m de cerca disponível para fazer um jardim. Ela quer que a forma do jardim seja igual à área de lance livre de uma quadra de basquete, ou seja, um retângulo combinado com um semicírculo. Sabendo que y > 0, a dimensão de r para que a área do jardim seja máxima deve ser:

Provas
Sejam os vetores
= (1, −1,2) ,
(−5, k, k) e
(3,1,2) no sistema de coordenadas cartesianas retangulares. Para um vetor
qualquer, a equação:

Tem solução quando k é igual a:
Provas
Provas
Provas
Provas
Caderno Container