Foram encontradas 50 questões.
- LegislaçãoEducação Especial - Leis, decretos, portarias e resoluções
- PPP: Projeto Político-PedagógicoPrincípios do PPPIgualdade no PPP
A partir de 1994, a Declaração de Salamanca introduziu o conceito de educação inclusiva. Sobre a inclusão nas escolas de crianças com necessidades educativas especiais, assinale a alternativa correta.
Provas
- Autores da EducaçãoPiagetConstrução do pensamento lógico-matemático
- PPP: Projeto Político-PedagógicoPrincípios do PPPGestão Democrática no PPP
Uma professora de Matemática planeja uma prova escrita. Para que essa avaliação permita levantar subsídios para ajudar o aluno a progredir no processo de construção do conhecimento, dos valores e das qualidades pessoais e para poder acompanhar a trajetória de cada um na apropriação das competências, e não como uma forma de prejudicar o aluno, deve ser planejada uma avalição do tipo
Provas
Provas
, sendo
um número real e a
parte real do número complexo igual a zero, calcule o valor de
.Provas
Provas
Davi é um menino de 15 anos de idade. Seus pais, muito preocupados com o futuro financeiro dele decidem aplicar uma quantia de R$ 20.000,00 para que ele possa retirar quando completar 18 anos. Sabendo que a rentabilidade anual é de 6% qual será o montante, aproximadamente, retirado quando Davi completar seus 18 anos?
Provas
Provas
Um estudante de matemática estava no segundo semestre da faculdade quando resolveu comprar uma moto. O preço da moto foi à vista R$ 24.000,00. A única forma de pagamento que o estudante conseguiu foi: uma entrada e mais 5 parcelas distribuídas em uma progressão geométrica. A segunda parcela que o estudante pagou foi de R$ 4.000,00 e a quarta de R$ 1.000,00. Qual valor de entrada o estudante precisou pagar para comprar a moto?
Provas
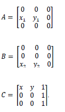
Dadas as matrizes:

Provas
Nos últimos dez anos, a população de uma cidade vem aumentando anualmente em progressão aritmética. Em 1996, último ano do período de dez anos, constatou-se que o número de habitantes era 10% maior que no ano anterior. Pode-se concluir que, dentro desses dez anos, a população dessa cidade aumentou em
Provas
Caderno Container