Foram encontradas 50 questões.
Texto retirado da obra “Raízes do Brasil” para responder à questão.
2. A LÍNGUA-GERAL EM SÃO PAULO
O assunto, que tem sido ultimamente objeto de algumas controvérsias, foi tratado pelo autor no Estado de S. Paulo de 11 e 18 de maio e 13 de junho de 1945, em artigos cujo texto se reproduz, a seguir, quase na íntegra.
Admite-se, em geral, sobretudo depois dos estudos de Teodoro Sampaio, que ao bandeirante, mais talvez do que ao indígena, se deve nossa extraordinária riqueza de topônimos de procedência tupi. Mas admite-se sem convicção muito arraigada, pois parece evidente que uma população “primitiva”, ainda quando numerosa, tende inevitavelmente a aceitar os padrões de seus dominadores mais eficazes.
Não faltou, por isso mesmo, quem opusesse reservas a um dos argumentos invocados por Teodoro Sampaio, o de que os paulistas da era das bandeiras se valiam do idioma tupi em seu trato civil e doméstico, exatamente como os dos nossos dias se valem do português.
Esse argumento funda-se, no entanto, em testemunhos precisos e que deixam pouco lugar a hesitações, como o é o do padre Antônio Vieira, no célebre voto que proferiu acerca das dúvidas suscitadas pelos moradores de São Paulo em torno do espinhoso problema da administração do gentio. “É certo”, sustenta o grande jesuíta, “que as famílias dos portuguezes e indios de São Paulo estão tão ligadas hoje humas ás outras, que as mulheres e os filhos se criam mystica e domesticamente, e a lingua que nas ditas familias se fala he a dos indios, e a portugueza a vão os meninos aprender à escola [...]’
(HOLANDA, Sérgio Buarque de. Raízes do Brasil, capítulo 4, nota 2, páginas 122 e 123, versão digital)
Nesse excerto de uma das mais célebres obras da sociologia brasileira, Sérgio Buarque de Holanda, informa que
Provas
- UniãoExecutivoDecreto 1.171/1994: Código de Ética do Servidor Público Civil do Poder Executivo Federal
Sobre o Código de Ética Profissional do Servidor Público Civil do Poder Executivo Federal, analise as afirmativas abaixo:
I. Toda ausência injustificada do servidor de seu local de trabalho é fator de desmoralização do serviço público, o que quase sempre conduz à desordem nas relações humanas.
II. O servidor deve prestar toda a sua atenção às ordens legais de seus superiores, velando atentamente por seu cumprimento, e, assim, evitando a conduta negligente. Os repetidos erros, o descaso e o acúmulo de desvios tornam-se, às vezes, difíceis de corrigir e caracterizam até mesmo imprudência no desempenho da função pública.
III. A pena aplicável ao servidor público pela Comissão de Ética é a de demissão e sua fundamentação constará do respectivo parecer, assinado por todos os seus integrantes, com ciência do faltoso.
Assinale
Provas
Assinale abaixo a única forma de provimento de cargo público admitida pela Lei nº 8.112/90.
Provas
Sobre a improbidade administrativa, analise as afirmativas abaixo:
I. A Lei de Improbidade Administrativa (Lei nº 8.429/920) não é aplicável àquele que não detenha a condição de agente público.
II. No caso de enriquecimento ilícito, perderá o agente público os bens ou valores acrescidos ao seu patrimônio.
III. Os agentes públicos de qualquer nível ou hierarquia são obrigados a velar pela estrita observância dos princípios de legalidade, impessoalidade, moralidade e publicidade no trato dos assuntos que lhe são afetos.
Assinale
Provas
- Organização do EstadoAdministração PúblicaDisposições Gerais (Art. 37)Princípios da Administração Pública
Sobre a Administração Pública, analise as afirmativas abaixo:
I. Serão computadas, para efeito de incidência do teto remuneratório dos servidores públicos, as parcelas de caráter indenizatório previstas em lei.
II. A publicidade dos atos, programas, obras, serviços e campanhas dos órgãos públicos deverá ter caráter educativo, informativo ou de orientação social, dela não podendo constar nomes, símbolos ou imagens que caracterizem promoção pessoal de autoridades ou servidores públicos.
III. A autonomia gerencial, orçamentária e financeira dos órgãos e entidades da administração direta e indireta poderá ser ampliada mediante tratado unilateral, a ser firmado pelo poder público, que tenha por objeto a fixação de metas de desempenho para o órgão ou entidade.
Assinale
Provas
- Direitos e Garantias FundamentaisDireitos e Deveres Individuais e ColetivosRemédios Constitucionais
- Direitos e Garantias FundamentaisDireitos Sociais
Sobre os direitos e garantias fundamentais, analise as afirmativas abaixo:
I. É direito social do trabalhador urbano a assistência gratuita aos filhos e dependentes desde o nascimento até (sete) anos de idade em creches e pré-escolas.
II. São gratuitas as ações de habeas corpus e habeas data, e, na forma da lei, os atos necessários ao exercício da cidadania.
III. É obrigatória a participação dos sindicatos nas negociações coletivas de trabalho.
Assinale
Provas
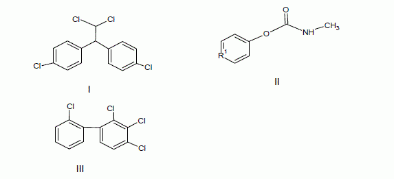
Diversos compostos orgânicos sintéticos vêm causando grandes impactos ambientais e na saúde humana. Dadas as estruturas químicas abaixo, assinale a alternativa que identifica corretamente a que classe de poluentes os compostos representados pertencem, respectivamente.

Provas
A química ácido-base de muitos sistemas de águas naturais, que inclui rios e lagos, é dominada pela interação do íon carbonato com o ácido carbônico, sendo o equilíbrio entre as espécies dependente do pH do meio. No gráfico abaixo, as espécies predominantes no sistema carbonato estão representadas por números 1, 2 e 3. Observando o gráfico, assinale a alternativa que correlaciona a numeração com a espécie, respectivamente.

Provas
Provas
- Química OrgânicaFunções Nitrogenadas: Amina, Amida, Nitrila, Isonitrila e Nitro Composto
- Química OrgânicaFunções Oxigenadas: Álcool, Fenol e Enol
- Química OrgânicaFunções Oxigenadas: Cetona, Aldeído, Éter, Éster, Ácido Carboxílico etc.
- Química OrgânicaHidrocarbonetos
Provas
Caderno Container