Foram encontradas 50 questões.
O fator de potência de uma instalação contendo fornos a arco e indução, conversores/inversores de frequência, lâmpadas fluorescentes e demais equipamentos com cargas não lineares deve ser calculado da seguinte maneira:
Provas
Questão presente nas seguintes provas
Dados: R1=4Ω ; R2=6Ω ; R3=6Ω ; R4=4Ω ; R5=4Ω ; R6=12Ω
A resistência equivalente vista pela fonte:
Provas
Questão presente nas seguintes provas
Dados:
f = 60 Hz, N1 = 4, N2 = 8 , B = 10 T, S = 0,04 m².
A tensão induzida no secundário do transformador é:
Provas
Questão presente nas seguintes provas

O esquema de aterramento do sistema indicado é:
Provas
Questão presente nas seguintes provas
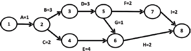
Considere o cronograma baseado no modelo PERT/CPM abaixo:

O caminho crítico é determinado pelas atividades:
Provas
Questão presente nas seguintes provas
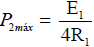
Considere o seguinte circuito:

No circuito, sendo a resistência interna a fonte igual a R1, a equação que traduz a transferência máxima de potência ao R2 é:
Provas
Questão presente nas seguintes provas
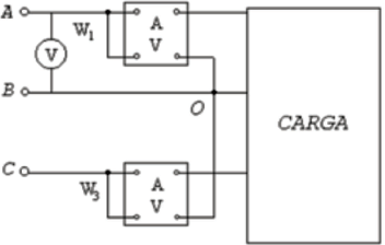
Dados:
Leitura do W1=300 W /Leitura do W3=- 300 W
Vab=480 ∠ 0º V
Considerando as tensões de linha equilibradas e em sequência abc, a potência total entregue a carga é de:
Provas
Questão presente nas seguintes provas
- Instalações Elétricas
- Normas TécnicasNBRsNBR 5419: Sistema de Proteção contra Descargas Atmosféricas
“As vestimentas de trabalho devem ser adequadas às atividades, devendo contemplar a condutibilidade, inflamabilidade e influências eletromagnéticas." Este requisito é mencionado na:
Provas
Questão presente nas seguintes provas
Das atividades e atribuições profissionais do engenheiro, do arquiteto e do engenheiro-agrônomo NÃO consta:
Provas
Questão presente nas seguintes provas
Durante a execução de uma obra, o planejamento é essencial para atendimento do prazo e do custo. Tendo em vista que a conclusão de uma atividade representa um passo em direção à conclusão do projeto, o acompanhamento do progresso de atividades dentro do cronograma é representado por:
Provas
Questão presente nas seguintes provas
Cadernos
Caderno Container