Foram encontradas 275 questões.
Com relação ao LMS Moodle é incorreto afirmar:
Provas
Disciplina: TI - Organização e Arquitetura dos Computadores
Banca: IF-SUL Minas
Orgão: IF-SUL Minas
Em um computador com 1 byte, podem-se representar quantos números binários?
Provas
Disciplina: TI - Organização e Arquitetura dos Computadores
Banca: IF-SUL Minas
Orgão: IF-SUL Minas
Sobre a arquitetura de hardware de um sistema computacional, analise as afirmativas e assinale a alternativa correta.
I. A memória RAM é um dispositivo de armazenamento secundário não-volátil que armazena programas e dados.
II. Os programas de computador precisam estar na memória RAM para serem executados.
III. O acesso aos dados armazenados na memória RAM é mais rápido que o acesso aos dados armazenados no disco rígido.
Provas
Disciplina: TI - Ciência de Dados e BI
Banca: IF-SUL Minas
Orgão: IF-SUL Minas
DataWarehouse e DataMining são tecnologias utilizadas por muitas organizações para facilitar e agilizar o processamento, a análise e a consulta de dados. Sobre essas tecnologias, é correto afirmar que:
Provas
Disciplina: TI - Redes de Computadores
Banca: IF-SUL Minas
Orgão: IF-SUL Minas
Um técnico deseja interligar 2 computadores pelas respectivas placas de redes dos mesmos, sem a utilização de um concentrador. Para tal ele terá que utilizar um na configuração . As alterações dos padrões das pinagens dos conectores tornam possível a configuração deste cabo.
Provas
Disciplina: TI - Desenvolvimento de Sistemas
Banca: IF-SUL Minas
Orgão: IF-SUL Minas
Assinale a alternativa que representa corretamente, na linguagem de programação PHP, versão 5, sequencialmente, as seguintes funções:
- Retorna a data atual do servidor no formato “dd/mm/aaaa”;
- Retorna uma dada string com todos os caracteres convertidos para maiúsculos;
- Retorna a quantidade de caracteres de uma dada string.
Provas
Um comando SQL que exibe todas as colunas e todas as linhas da tabela FUNCIONARIOS tem a sintaxe:
Provas
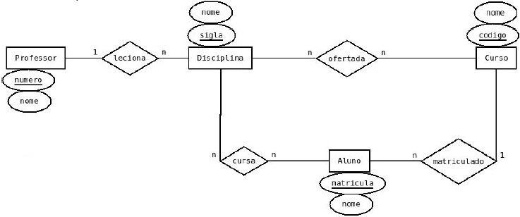
No cenário de um sistema acadêmico, um professor ministra várias disciplinas que são ofertadas por vários cursos. Um curso tem matriculados vários alunos que cursam várias disciplinas. As disciplinas são cursadas por vários alunos sendo que o aluno só pode estar matriculado em um curso. O curso tem várias disciplinas que são lecionadas por um único professor. Abaixo é dado o modelo entidade-relacionamento que representa este cenário. Com base nesse modelo, quantas tabelas serão mapeadas no banco de dados?

Provas
Disciplina: TI - Desenvolvimento de Sistemas
Banca: IF-SUL Minas
Orgão: IF-SUL Minas
- LinguagensJava
- Paradigmas de ProgramaçãoOrientação a ObjetosOrientação a Objetos: Construtores
- Paradigmas de ProgramaçãoOrientação a ObjetosOrientação a Objetos: Herança
Considere as afirmativas abaixo sobre a linguagem de programação orientada a objetos JAVA e assinale a alternativa correta.
I. Em herança, a subclasse ou classe-filha é uma classe que não pode ser instanciada, ou seja, não se pode criar um objeto da subclasse.
II. Para chamar um método estático de uma classe não é necessário ter uma instância dessa classe.
III. O método construtor de uma determinada classe define as instruções que serão executadas sempre que for instanciado um objeto dessa classe.
Provas
Disciplina: TI - Organização e Arquitetura dos Computadores
Banca: IF-SUL Minas
Orgão: IF-SUL Minas
Considere os seguintes itens e selecione a alternativa correta.
I. Sistemas monoprogramáveis caracterizam-se por permitir que o processador, a memória e os periféricos permaneçam exclusivamente dedicados à execução de um único programa.
II. Os sistemas multiprogramáveis compartilham os recursos computacionais entre os diversos usuários e aplicações. Uma das vantagens do uso de sistemas multiprogramáveis é a redução do tempo de resposta das aplicações processadas no ambiente.
III. Os sistemas multiprocessados caracterizam-se por possuir duas ou mais CPUs interligadas trabalhando em conjunto. A vantagem desse tipo de sistema é permitir que vários programas sejam executados ao mesmo tempo ou que um mesmo programa seja subdividido em partes para serem executadas simultaneamente em mais de um processador.
Provas
Caderno Container