Magna Concursos

Foram encontradas 50 questões.

405902 Ano: 2017
Disciplina: Economia
Banca: IFB
Orgão: IFB
Provas:
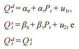
Um pesquisador deseja estimar um modelo econométrico que descreva o mercado de carne bovina em um determinado estado. Ele especifica as seguintes equações comportamentais: Enunciado 405902-1 onde Enunciado 405902-2 representa a quantidade demandada no período t, Enunciado 405902-3 a quantidade ofertada no período t, Pt o preço vigente no período t e uit são erros aleatóreos. Assinale a alternativa CORRETA.
 

Provas

Questão presente nas seguintes provas
405901 Ano: 2017
Disciplina: Economia
Banca: IFB
Orgão: IFB
Provas:
Considere a propensão marginal a consumir indicada por 0 < c < 1 e a relação capital-produto k. Então, de acordo com o modelo de Harrod-Domar, a taxa de crescimento do investimento ∆I ⁄ I para manter o equilíbrio entre oferta e demanda ao longo do tempo será igual a:
 

Provas

Questão presente nas seguintes provas
405900 Ano: 2017
Disciplina: Economia
Banca: IFB
Orgão: IFB
Provas:
No contexto do modelo de crescimento neoclássico (Solow), o nível de capital per capita é k = K/N, em que K é o estoque de capital e N a população economicamente ativa. Considere N constante. Logo, no equilíbrio de longo prazo k *, a poupança por trabalhador sf (k *), em que s é a propensão marginal a poupar e f (k *) a função de produção, deverá se igualar à:
 

Provas

Questão presente nas seguintes provas
405899 Ano: 2017
Disciplina: Economia
Banca: IFB
Orgão: IFB
Provas:
Considere as seguintes equações comportamentais para a equação IS em uma economia fechada, descrevendo os determinantes do consumo agregado C e da tributação T, sendo o investimento I e o gasto do governo G exógenos. Co e To representam o componente autônomo das variáveis. I) Y = C + I + G II) C = Co + a(Y − T) III) T = To + bY Sob tais condições, a expressão do multiplicador de gastos será:
 

Provas

Questão presente nas seguintes provas
405898 Ano: 2017
Disciplina: Economia
Banca: IFB
Orgão: IFB
Provas:
Analise as seguintes proposições sobre os indicadores de seleção de projetos. I) A adição de um componente de “prêmio de risco” à taxa de desconto provoca sempre redução do valor presente de um projeto. II) O critério de payback leva em conta todos os fluxos de caixa do projeto. III) É possível que dois projetos tenham a mesma taxa interna de retorno, mas tenham valores presentes líquidos diferentes para outras taxas de desconto. Podemos afirmar que:
 

Provas

Questão presente nas seguintes provas
405895 Ano: 2017
Disciplina: Economia
Banca: IFB
Orgão: IFB
Provas:
A mensuração dos agregados econômicos é fundamental para a avaliação do desempenho da economia e para a formulação das políticas fiscal e monetária. A diferença entre o Produto Interno Bruto (PIB) e o Produto Nacional Bruto (PNB) deve-se a qual item abaixo indicado?
 

Provas

Questão presente nas seguintes provas
405894 Ano: 2017
Disciplina: Economia
Banca: IFB
Orgão: IFB
Provas:
O modelo de industrialização brasileiro no século vinte pode ser caracterizado por quais elementos descritos a seguir? I) Forte presença estatal. II) Ampla abertura comercial. III) Substituição de importações. IV) Entrada de empresas estrangeiras. V) Modesto endividamento externo.
 

Provas

Questão presente nas seguintes provas
405893 Ano: 2017
Disciplina: Economia
Banca: IFB
Orgão: IFB
Provas:
Uma maneira de analisar a dimensão do mercado de determinado produto é por meio da evolução histórica do consumo aparente. Considerando P = Produção, X = Exportação e M = Importações, esse indicador é dado pela expressão:
 

Provas

Questão presente nas seguintes provas
405892 Ano: 2017
Disciplina: Economia
Banca: IFB
Orgão: IFB
Provas:
Considere que existam apenas dois países A e B produzindo um único bem cada, ou seja, A produz trigo e B aço. Seus respectivos preços unitários são PA (preço por tonelada de trigo em moeda de A) e PB (preço por tonelada de aço na moeda de B). Considere a taxa de câmbio nominal E, definida como a quantidade da moeda de A por uma unidade da moeda de B. Então, a taxa de câmbio real, indicando a relação de troca de uma tonelada de trigo em termos de toneladas de aço, é fornecida pela expressão:
 

Provas

Questão presente nas seguintes provas
405891 Ano: 2017
Disciplina: Economia
Banca: IFB
Orgão: IFB
Provas:
Ao calcular índices de preço entre dois anos, um pesquisador usa os Métodos de Laspeyres e de Paasche, equalizando, nos dois casos, o ano base a 100. Então, pode-se afirmar que no segundo ano:
 

Provas

Questão presente nas seguintes provas