Foram encontradas 40 questões.
Provas
Provas
Uma rede neural pode ser representada por um grafo direcionado chamado de sinal-fluxo (signal-flow).
O fluxo de sinais no grafo é definido pelas seguintes regras básicas, EXCETO:
Provas
A função de ativação, representada por φ(v), define a saída de um neurônio em termos do campo local induzido v.
São tipos básicos de funções de ativação, EXCETO:
Provas
Provas
O componente central de um agente baseado em conhecimento é sua base de conhecimento (knowledge base).
Em relação à base de conhecimento é CORRETO afirmar que
Provas
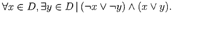
É CORRETO afirmar que a negação da afirmação
![]()
é
Provas
Analise as seguintes formas de argumento e assinale com V as válidas e com I as inválidas.

Assinale a alternativa que apresenta a sequência CORRETA.
Provas
É CORRETO afirmar que a expressão lógica

é equivalente logicamente à seguinte expressão:
Provas
Seja o seguinte trecho de um programa em Prolog

Assinale a alternativa que apresenta a sequência CORRETA.
Provas
Caderno Container