Foram encontradas 50 questões.
Provas
Provas
Considere uma região com um campo magnético uniforme na direção do eixo x, das coordenadas cartesianas, e um campo elétrico uniforme de 106 V/m no sentido positivo do eixo z. Uma carga elétrica negativa entra nessa região com velocidade v = 2 x 106 m/s, no sentido positivo do eixo y. Qual é a densidade de fluxo magnético necessária para que a carga elétrica atravesse essa região em uma trajetória retilínea?
Provas
Provas
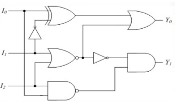
Observe a imagem a seguir.

O circuito lógico mostrado na figura acima tem três entradas, I0, I1, I2 e 2 saídas, Y0, Y1. Qual é a entrada (I0, I1, I2) que resulta na saída (Y0, Y1) = (0, 0)?
Provas
Provas
Provas
Provas
Observe a imagem a seguir.

No circuito elétrico representado na imagem acima, a fonte de tensão contínua é de 24 V e a corrente no resistor R1 é 1 mA. Nas condições apresentadas, a resistência R tem valor, em ohms, de
Provas
Provas
Caderno Container