Foram encontradas 60 questões.
Com relação à distribuição de certo produto, cujo preço não varia com o tamanho do lote, analise as afirmativas a seguir e assinale (V) para a verdadeira e (F) para a falsa.
( ) O tamanho do lote econômico é diretamente proporcional ao custo de manutenção do produto em estoque.
( ) O tamanho do lote econômico é inversamente proporcional ao custo de preparação do pedido.
( ) O tamanho do lote econômico é diretamente proporcional à demanda pelo produto.
As afirmativas são, na ordem apresentada, respectivamente,
Provas
O gráfico a seguir mostra a probabilidade de venda de cada unidade adicional de determinado produto alimentício ao longo de um dia, considerando que já se vendeu a quantidade indicada anteriormente. Por exemplo, dado que já foram vendidas quatro unidades do alimento, a probabilidade de se vender a quinta unidade é de 0,40.

O custo de fabricação e o preço de venda desse produto valem R$60,00 e R$100,00, respectivamente, e as unidades do produto não vendidas ao longo do dia são perdidas, com valor residual nulo.
Com base nestas informações, a quantidade de unidades que deve ser produzida, diariamente, para maximizar o lucro da empresa é de
Provas
Durante o controle de determinado processo, foram obtidos os seguintes valores para a quantidade de itens produzidos a cada hora:
|
hora |
# itens | hora |
# itens |
| 1 | 7 | 6 | 8 |
| 2 | 9 | 7 | 9 |
| 3 | 10 | 8 | 10 |
| 4 | 7 | 9 | 6 |
| 5 | 11 | 10 | 8 |
O desvio padrão e a mediana da quantidade de itens produzidos por hora valem, respectivamente,
Provas
Um determinado processo produtivo é realizado por um operador e duas máquinas, que podem operar simultaneamente e cujas características de trabalho são mostradas a seguir.
|
Tempo para o homem carregar a máquina 1 |
10min |
|
Tempo para o homem carregar a máquina 2 |
10min |
|
Tempo para o homem descarregar a máquina 1 |
5min |
|
Tempo para o homem descarregar a máquina 2 |
5min |
|
Tempo em operação da máquina 1 por ciclo |
20 min |
|
Tempo em operação da máquina 2 por ciclo |
20 min |
No ciclo ótimo deste processo, o percentual de tempo improdutivo do operador será de, aproximadamente,
Provas
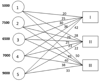
Uma empresa está estudando cinco locais para instalação de uma indústria, identificados pelos números 1 a 5. As distâncias de transporte em km de cada um desses locais a três centros de distribuição I, II e III estão mostrados na figura a seguir, junto aos retângulos indicativos desses centros, sempre de cima para baixo, partindo do local 1 para o local 5.

Estão indicados também na figura, junto aos círculos referentes aos locais 1 a 5, os custos mensais de aluguel da indústria em cada uma dessas opções de instalação.
Sabendo-se que as demandas mensais dos centros I, II e III são de 1500, 2000 e 1800 unidades e que o custo de transporte é de R$1,50/unidade, a localização mais econômica é a indicada pelo número
Provas
Relacione os fatores associados ao trabalho dos empregadores ao respectivo tipo de ergonomia ao qual se aplica.
1. Ergonomia Física
2. Ergonomia cognitiva
3. Ergonomia Organizacional
( ) concepção do trabalho, horários e a jornada de trabalho
( ) repetitividade, cargas e layout do posto de trabalho
( ) percepção, memória e resposta motoras
Assinale a opção que mostra, segundo a ordem apresentada, a relação correta.
Provas
Uma indústria estuda duas variantes para modernização da manufatura de um produto.
Variante 1: modificação do processo atual, que levará a um custo de fabricação de R$40,00/unidade e um produto com preço de venda de R$50,00/unidade.
Variante 2: estabelecimento de um novo processo, que levará a um custo de fabricação maior do que o da variante 1 (R$48,00/unidade), porém há um produto com preço de venda superior (R$60,00/unidade).
As previsões de demanda para os produtos resultantes dessas duas variantes, para três cenários de demanda (alto, médio e baixo) são mostrados na tabela a seguir.
|
cenário de demanda |
alto | médio |
baixo |
|
Quantidade de vendas |
200 | 150 |
100 |
|
Probabilidade para a variante 1 |
0,5 |
0,3 |
0,2 |
|
Probabilidade para a variante 2 |
0,2 | 0,5 |
0,3 |
Os valores esperados médios de lucro para essa empresa, nas duas variantes, valem, respectivamente,
Provas
Um gerente deve optar por uma dentre quatro máquinas alternativas para serem empregadas em certo processo produtivo. O custo fixo e variável de cada uma das máquinas é indicado a seguir.
|
Máquina |
Custo Fixo diário (R$/dia) |
Custo variável (R$/unidade produzida) |
| 1 | 2000,00 |
200,00 |
| 2 | 2500,00 |
150,00 |
| 3 | 3000,00 |
130,00 |
| 4 | 3500,00 |
100,00 |
O valor mínimo de produção diária, a partir do qual passa a ser mais vantajoso utilizar a máquina 4 em relação às demais, é de
Provas
A fabricação de determinado produto foi concebida para ocorrer de forma ininterrupta, ao longo do tempo. Entretanto, o equipamento destinado a esse fim possui uma taxa de indisponibilidade programada de 10% e, quando está operando, apresenta uma taxa de falha forçada de 5%.
Sabendo-se que o equipamento opera a 90% de sua capacidade máxima quando está produzindo, o fator de utilização de capacidade desse processo ao longo do tempo é de
Provas
A figura a seguir ilustra um fluxograma de um processo produtivo industrial.

Os algarismos romanos I, II e III indicam, respectivamente, processos de
Provas
Caderno Container