Magna Concursos

Foram encontradas 100 questões.

91683 Ano: 2010
Disciplina: Física
Banca: CESPE / CEBRASPE
Orgão: INMETRO

Considerando-se as moléculas de ácido fluorídrico e água, e sabendo que tanto o átomo de flúor quando o de oxigênio são bastante eletronegativos, é correto afirmar, acerca das ligações existentes nessas moléculas, que

 

Provas

Questão presente nas seguintes provas
91682 Ano: 2010
Disciplina: Física
Banca: CESPE / CEBRASPE
Orgão: INMETRO

A estrutura da água é estudada há muitos anos por cientistas de diversas áreas. Atualmente, a compreensão da organização supramolecular dessa molécula é relativamente bem conhecida. As ligações intermoleculares na água são

 

Provas

Questão presente nas seguintes provas
91681 Ano: 2010
Disciplina: Física
Banca: CESPE / CEBRASPE
Orgão: INMETRO

Uma molécula com estado fundamental singleto (S) é excitada para um estado excitado também singleto (S*). Antes de relaxar para o estado fundamental, a molécula sofre uma transição para um estado excitado tripleto (T*). O esquema desse processo é: S÷S*÷T*÷S. A emissão de luz ocorre em 501 nm. Considerando o texto, assinale a opção correta acerca da molécula em apreço.

 

Provas

Questão presente nas seguintes provas
91680 Ano: 2010
Disciplina: Física
Banca: CESPE / CEBRASPE
Orgão: INMETRO

Muitos compostos apresentam propriedades de luminescência (fluorescência ou fosforescência). A respeito de um material orgânico polimérico sintetizado com propriedades fluorescentes, é correto afirmar que

 

Provas

Questão presente nas seguintes provas
91679 Ano: 2010
Disciplina: Física
Banca: CESPE / CEBRASPE
Orgão: INMETRO

O tipo de material emissor utilizado em sistemas orgânicos emissores de luz determina tanto as propriedades emissivas como a qualidade do OLED. O material orgânico constituinte de um OLED pode ser

 

Provas

Questão presente nas seguintes provas
91678 Ano: 2010
Disciplina: Física
Banca: CESPE / CEBRASPE
Orgão: INMETRO

Considerando o estado fundamental da molécula de oxigênio (O2) que se encontra no ar que respiramos, pode-se dizer que este estado é

 

Provas

Questão presente nas seguintes provas
91677 Ano: 2010
Disciplina: Física
Banca: CESPE / CEBRASPE
Orgão: INMETRO

Considerando a redução catódica e a oxidação anódica dos materiais para sistemas OLEDs, assinale a opção correta quanto ao material a ser utilizado no processo eletroquímico de oxidação no ânodo e de redução no cátodo, respectivamente.

 

Provas

Questão presente nas seguintes provas
91676 Ano: 2010
Disciplina: Física
Banca: CESPE / CEBRASPE
Orgão: INMETRO

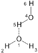
Enunciado 3545530-1

Acerca das ligações da água demonstradas na figura acima, assinale a opção correta.

 

Provas

Questão presente nas seguintes provas
91675 Ano: 2010
Disciplina: Física
Banca: CESPE / CEBRASPE
Orgão: INMETRO

A equação de Schrödinger para um partícula na caixa apresenta, em teoria,

 

Provas

Questão presente nas seguintes provas
91674 Ano: 2010
Disciplina: Física
Banca: CESPE / CEBRASPE
Orgão: INMETRO

Considerando um sistema OLED comercial, as características desejáveis para aplicação de sistemas fotoluminescentes orgânicos moleculares (ou poliméricos) em sistemas óptico-eletrônicos comerciais são:

 

Provas

Questão presente nas seguintes provas