Foram encontradas 60 questões.
Deve-se criar uma sintaxe, em SQL, para popular uma tabela de cadastro de funcionários. O nome da tabela é Cadastro e tem o seguinte formato:
CODFUN NOME DEPTO FUNCAO SALÁRIO
Observe a tabela com um registro inserido.
CODFUN NOME DEPTO FUNCAO SALÁRIO
11 Fulano de Tal 05 Balconista 1200.00
Assinale a sintaxe correta para inserção desse registro na tabela Cadastro.
CODFUN NOME DEPTO FUNCAO SALÁRIO
Observe a tabela com um registro inserido.
CODFUN NOME DEPTO FUNCAO SALÁRIO
11 Fulano de Tal 05 Balconista 1200.00
Assinale a sintaxe correta para inserção desse registro na tabela Cadastro.
Provas
Questão presente nas seguintes provas
A linguagem SQL (Structured Query Language), uma linguagem padrão para utilização em banco de dados, é declarativa, ao contrário das linguagens tradicionais, que são do tipo procedimental. A linguagem SQL é constituída por três sublinguagens. Relacione adequadamente as colunas acerca das sublinguagens.
1. DML Data Manipulation Language.
2. DDL Data Definition Language.
3. DCL Data Control Language.
( ) Grant.
( ) Select.
( ) Insert.
( ) Create.
( ) Revoke.
( ) Update.
( ) Alter.
( ) Drop.
( ) Delete.
1. DML Data Manipulation Language.
2. DDL Data Definition Language.
3. DCL Data Control Language.
( ) Grant.
( ) Select.
( ) Insert.
( ) Create.
( ) Revoke.
( ) Update.
( ) Alter.
( ) Drop.
( ) Delete.
Provas
Questão presente nas seguintes provas
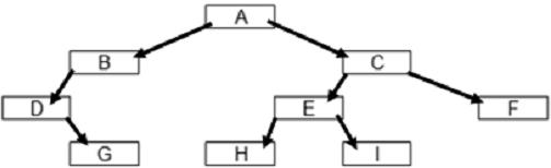
Efetuar uma pesquisa dentro de uma tabela pode trazer melhores resultados se todos os registros que a compõem estiverem ordenados. Ao executar uma pesquisa, é feita uma comparação, entre a chave pesquisada e a chave que está no meio dessa tabela. Se a chave pesquisada for menor, então ela poderá estar na primeira metade da tabela, caso contrário, a chave pesquisada poderá estar na segunda metade da tabela. A árvore de pesquisa é uma estrutura de dados muito eficiente para armazenar informação. Em uma árvore podem ser efetuados percursos, que são visitas a cada um de seus nós. Dessa forma, visita-se todos os nós. Observe a seguinte estrutura de uma árvore.

Assinale, a seguir, o percurso em pós-ordem dessa árvore.

Assinale, a seguir, o percurso em pós-ordem dessa árvore.
Provas
Questão presente nas seguintes provas
Toda linguagem de programação possui instruções que controlam o fluxo da execução de um programa. Essas estruturas podem ser de decisão, decisão encadeada, repetição, repetição encadeada, cada uma com seus respectivos comandos. Observe o fluxograma.

Assinale, a seguir, o comando representado nesse fluxograma.

Assinale, a seguir, o comando representado nesse fluxograma.
Provas
Questão presente nas seguintes provas
Na elaboração de algoritmos, uma outra forma de representação da lógica de programação, sempre que for preciso orientação para as escolhas quando existem situações de condições no algoritmo, pode-se utilizar a tabela de decisões, ou como é normalmente chamada, tabela verdade. A tabela verdade faz uso de operadores lógicos E, Ou e Não, que podem ser utilizados sozinhos ou em conjunto nas estruturas condicionais. Analise o quadro com os operadores lógicos em conjunto E e OU e complete a última coluna com a decisão.

A sequência está correta em

A sequência está correta em
Provas
Questão presente nas seguintes provas
A representação lógica de um programa pode ser feita, utilizando uma técnica denominada diagrama de blocos ou fluxograma do programa. É um conjunto de figuras geométricas utilizadas para a representação da lógica de um programa. Nessa representação, as operações são identificadas por símbolos que identificam o processo envolvido. Alguns autores utilizam os símbolos do Padrão ANSI (American National Standards Institute) por não haver um padrão rígido na utilização dos símbolos do diagrama de blocos. Na construção de um diagrama de blocos verifica-se o seguinte símbolo:

Assinale, a seguir, a definição desse símbolo.

Assinale, a seguir, a definição desse símbolo.
Provas
Questão presente nas seguintes provas
Na programação orientada a objetos, com a linguagem C++, podem ser utilizadas bibliotecas com vários moldes. A Biblioteca STL (Standard Template Library) é uma coleção de bibliotecas que provê moldes utilizados para definição de classes principais contêineres, necessárias para implementação das associações e agregações. São utilizados arquivos de cabeçalho, em que cada um tem a sua função específica. “Programa que necessita de uma biblioteca que constitui um dos três contêineres sequenciais providos pela STL, que provê acesso aleatório a uma sequência de comprimento variável, com constantes inserções de tempo e exclusões, tanto no início quanto no final da sequência.” Trata-se da biblioteca
Provas
Questão presente nas seguintes provas
Na programação orientada a objetos com Java, a utilização de interfaces da Java API permite a utilização das próprias classes dentro das estruturas fornecidas pelo Java. Como exemplo, podem ser citadas a comparação entre os objetos dos seus próprios tipos e a criação de tarefas que podem executar concorrentemente com outras tarefas, dentro do mesmo programa. No desenvolvimento do código de um aplicativo, torna-se necessária uma interface usada para identificar classes cujos objetos podem ser gravados em lidos de algum tipo de armazenamento (como exemplo, arquivos em disco, campo de banco de dados), ou transmitidos por uma rede. Assinale a interface a ser utilizada.
Provas
Questão presente nas seguintes provas
- Frameworks.NET
- LinguagensC#
- Paradigmas de ProgramaçãoOrientação a ObjetosOrientação a Objetos: Classes e Objetos
- Paradigmas de ProgramaçãoOrientação a ObjetosOrientação a Objetos: Métodos
A linguagem de programação C#, que alguns autores defendem como sendo uma evolução do C e C++, é uma linguagem desenvolvida para a plataforma. NET, da Microsoft, fornece recursos muito importantes para os programadores, como, por exemplo, programação orientada a objetos, elementos gráficos, componentes de interface gráfica com o usuário, entre vários outros recursos. É apropriada para implementação de aplicativos para internet e World Wide Web, se integrando de forma transparente com os aplicativos baseados em PC. Na linguagem C#, os módulos de programa são chamados de
Provas
Questão presente nas seguintes provas
A linguagem de programação C++, uma evolução da linguagem de programação C, pode ser considerada uma linguagem híbrida, pois é possível utilizar a programação estruturada e a orientada a objetos. Os programas na linguagem C++ consistem em peças-chave denominadas classes e funções. Ao derivar uma classe a partir de uma classe base, esta pode ser herdada como public, protected ou private. “Ao derivar uma classe a partir de uma classe base com herança protected, os membros public da classe base tornam-se membros da classe derivada e os membros protected da classe base tornam-se membros da classe derivada.” Assinale a alternativa que completa correta e sequencialmente a afirmativa anterior.
Provas
Questão presente nas seguintes provas
Cadernos
Caderno Container