Foram encontradas 35 questões.
Disciplina: TI - Desenvolvimento de Sistemas
Banca: CESPE / CEBRASPE
Orgão: INPE
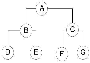
Percorrendo a árvore binária a seguir em pré-ordem, obtemos que sequência de caracteres?

Provas
Disciplina: TI - Desenvolvimento de Sistemas
Banca: CESPE / CEBRASPE
Orgão: INPE
Qual é o valor correto que um programa em C deve retornar ao sistema operacional ao terminar a sua execução sem erros?
Provas
Um atributo, em um modelo de entidade-relacionamento, possui “sub-atributos” em sua nomenclatura que podem ou não ser do mesmo tipo e que são agregados a ele no mundo real. Esse atributo é definido como:
Provas
Disciplina: TI - Desenvolvimento de Sistemas
Banca: CESPE / CEBRASPE
Orgão: INPE
Para usar a função tolower() é necessário incluir o seguinte arquivo de cabeçalho:
Provas
Qual destes protocolos utiliza criptografia de chave pública na autenticação de computadores remotos?
Provas
Disciplina: TI - Desenvolvimento de Sistemas
Banca: CESPE / CEBRASPE
Orgão: INPE
- Fundamentos de ProgramaçãoAlgoritmosAnálise de Execução de Algoritmos
- Fundamentos de ProgramaçãoLógica de Programação
- Fundamentos de ProgramaçãoOperadoresOperadores Aritméticos
- Fundamentos de ProgramaçãoVariáveis
Dado o seguinte bloco de um algoritmo:
...
...
read i, j
i = i + j
j = i – j
i = i – j
print i, j
...
...
qual será o resultado impresso das variáveis i e j?
Provas
Disciplina: TI - Desenvolvimento de Sistemas
Banca: CESPE / CEBRASPE
Orgão: INPE
O uso do comando “break” serve para:
Provas
Quantos bits compõem um MACaddress?
Provas
Disciplina: TI - Desenvolvimento de Sistemas
Banca: CESPE / CEBRASPE
Orgão: INPE
O teste de software que garante o atendimento aos requisitos, ou seja, que verifica se os requisitos estão corretamente codificados, são conhecidos como:
Provas
Disciplina: TI - Desenvolvimento de Sistemas
Banca: CESPE / CEBRASPE
Orgão: INPE
Vetores são estruturas de dados bastante intuitivas. De forma simples e direta pode-se afirmar que um Vetor é:
Provas
Caderno Container