Foram encontradas 115 questões.
A opção que contém a sequência CORRETA de comparação do comprimento de ligação química entre os átomos de carbono e oxigênio nas espécies !$ CO !$, !$ CO_2 !$, !$ HCOOH !$ e !$ CH_3OH !$, todas no estado gasoso, é
Provas
Num recipiente, mantido a 25º C, misturam-se 50 mL de uma solução 5,0 milimol/L de HCl, 50 mL de água destilada e 50 mL de uma solução 5,0 milimol/L de NaOH. A concentração de íons !$ H^+ !$, em mol/L, na solução resultante é
Provas
Dependendo da natureza do meio, alcalino ou ácido, a corrosão de alumínio em meio aquoso pode ser representada pelas seguintes semi-equações químicas:
I. !$ Al(c)\rightleftarrows l^{3+}(aq)+3e^-(CM) !$
II. !$ 4OH^-(aq) \rightleftarrows O_2(aq)+2H_2O(l)+4e^-(CM) !$
III. !$ H_2(g) \rightleftarrows 2H^+(aq) +2e^-(CM) !$
Qual das opções abaixo contém a afirmação ERRADA a respeito do processo de corrosão do alumínio?,
Provas
Considere as afirmações abaixo relativas ao aquecimento de um mol de gás !$ N_2 !$ contido em um cilindro provido de um pistão móvel sem atrito:
I. A massa específica do gás permanece constante.
II. A energia cinética média das moléculas aumenta.
III. A massa do gás permanece a mesma.
IV. O produto pressão x volume permanece constante.
Das afirmações feitas, estão CORRETAS
Provas
Um fio de densidade linear de carga positiva !$ λ !$ atravessa três superfícies fechadas !$ A !$, !$ B !$ e !$ C !$, de formas respectivamente cilíndrica, esférica e cúbica, como mostra a figura. Sabe-se que !$ A !$ tem comprimento !$ L= !$ diâmetro de !$ B= !$ comprimento de um lado de !$ C !$, e que o raio da base de !$ A !$ é a metade do raio da esfera !$ B !$. Sobre o fluxo do campo elétrico, !$ \Phi !$, através de cada superfície fechada, pode-se concluir que

Provas
A figura mostra a distribuição de linhas de campo magnético produzidas por duas bobinas nas idênticas percorridas por correntes de mesma intensidade / e separadas por uma distância ab. Uma espira circular, de raio muito pequeno comparativamente ao raio da bobina, é deslocada com velocidade constante, !$ \vec{V} !$, ao longo do eixo de simetria, !$ Z !$, permanecendo o plano da espira perpendicular à direção !$ Z !$.
Qual dos gráficos a seguir representa a variação da corrente na espira ao longo do eixo !$ Z !$?

Provas
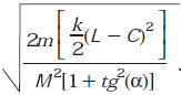
Um corpo de massa !$ m !$ desliza sem atrito sobre a superfície plana ( e inclinada de um ângulo !$ \alpha !$ em relação à horizontal) de um bloco de massa !$ M !$ sob a ação da mola, mostrada na figura. Esta mola, de constante elástica !$ k !$ e comprimento natural !$ C !$, tem suas extremidades respectivamente fixadas ao corpo de massa !$ m !$ e ao bloco. Por sua vez, o bloco pode deslizar sem atrito sobre a superfície plana e horizontal em que se apóia. O corpo é puxado até uma posição em que a mola seja distendida elasticamente a um comprimento !$ L \,(L > C) !$, tal que, ao ser liberado, o corpo passa pela posição em que a força elástica é nula. Nessa posição o módulo da velocidade do bloco é

Provas
O ar dentro de um automóvel fechado tem massa de 2,6 kg e calor específico de 720 J/kg ºC. Considere que o motorista perde calor a uma taxa constante de 120 joules por segundo e que o aquecimento do ar confinado se deva exclusivamente ao calor emanado pelo motorista. Quanto tempo levará para a temperatura variar de 2,4 ºC a 37 ºC?
Provas
Uma lente de vidro de índice de refração !$ n=1,6 !$ é recoberta com um filme fino, de índice de refração !$ n=1,3 !$, para minimizar a reflexão de uma certa luz incidente. Sendo o comprimento de inda da luz incidente no ar !$ λ_{ar}=500\,nm !$, então a espessura mínima do filme é:
Provas
A figura mostra duas regiões nas quais atuam campos magnéticos orientados em sentidos opostos e de magnitudes !$ B_1 !$ e !$ B_2 !$, respectivamente . Um próton de carga !$ q !$ e massa !$ m !$ é lançado do ponto !$ A !$ com uma velocidade !$ \vec{V} !$ perpendicular às linhas de campo magnético. Após um certo tempo !$ t !$, o próton passa por um ponto !$ B !$ com a mesma velocidade inicial !$ \vec{V} !$ ( em módulo, direção e sentido). Qual é o menor valor desse tempo?

Provas
Caderno Container