Foram encontradas 250 questões.
As soluções embasadas em software livre vêm ganhando cada vez mais adeptos, não só na administração pública federal mas também em diversas organizações privadas. Essa mudança de comportamento ocorre não apenas em função do custo, mas também porque essas soluções atingiram um nível de qualidade que se compara aos softwares proprietários. Essa mudança de comportamento tem impulsionado o surgimento de ambientes heterogêneos, tanto no que se refere aos sistemas operacionais como aos aplicativos. Com relação a esse assunto, e no que tange aos conceitos de sistemas operacionais, em particular aos sistemas Unix e Windows, julgue os itens de 93 a 99.
Os métodos mais conhecidos de alocação de espaço em disco são a contígua, a encadeada e a indexada. As principais vantagens da alocação contígua são a simplicidade de implementação e a velocidade na leitura de dados.
Provas
- Gerenciamento de ProcessosComunicação entre Processos (IPC)
- LinuxRedirecionamento I/O no Linux
- LinuxShell no LinuxPipes (Shell)
As soluções embasadas em software livre vêm ganhando cada vez mais adeptos, não só na administração pública federal mas também em diversas organizações privadas. Essa mudança de comportamento ocorre não apenas em função do custo, mas também porque essas soluções atingiram um nível de qualidade que se compara aos softwares proprietários. Essa mudança de comportamento tem impulsionado o surgimento de ambientes heterogêneos, tanto no que se refere aos sistemas operacionais como aos aplicativos. Com relação a esse assunto, e no que tange aos conceitos de sistemas operacionais, em particular aos sistemas Unix e Windows, julgue os itens de 93 a 99.
No sistema operacional Unix, é possível utilizar pipes para comunicação entre processos. Como exemplo, no comando ls | more, é criado um pipe entre o ls e o more, sendo que a saída do ls é direcionada para a entrada do more.
Provas
- Fundamentos de ProgramaçãoAlgoritmosAlgoritmos de Busca
- Fundamentos de ProgramaçãoComplexidade
- Fundamentos de ProgramaçãoEstruturas de DadosEstrutura de Dados: ÁrvoreÁrvore Binária
- Fundamentos de ProgramaçãoEstruturas de DadosEstrutura de Dados: ÁrvorePercursos em Árvores
O desenvolvimento de aplicações que dependem de alto desempenho normalmente envolve a utilização de mecanismos e algoritmos eficientes. Dependendo do volume de dados envolvidos, a escolha de um algoritmo ineficiente pode ter sérias implicações, tanto no que se refere ao tempo de resposta como na qualidade da resposta obtida. Acerca desse assunto, bem como sobre as técnicas de construção de algoritmos e estruturas de dados e conceitos básicos sobre estruturas de dados, julgue os itens de 81 a 92.
No algoritmo de busca em pré-ordem, a busca se inicia pelos elementos situados à direita da raiz da árvore.
Provas
- Fundamentos de ProgramaçãoAlgoritmosConstrução de Algoritmos
- Fundamentos de ProgramaçãoEstruturas de DadosDefinição: Estrutura de Dados
- Fundamentos de ProgramaçãoEstruturas de DadosEstrutura de Dados: Lista
- LinguagensC++
O desenvolvimento de aplicações que dependem de alto desempenho normalmente envolve a utilização de mecanismos e algoritmos eficientes. Dependendo do volume de dados envolvidos, a escolha de um algoritmo ineficiente pode ter sérias implicações, tanto no que se refere ao tempo de resposta como na qualidade da resposta obtida. Acerca desse assunto, bem como sobre as técnicas de construção de algoritmos e estruturas de dados e conceitos básicos sobre estruturas de dados, julgue os itens de 81 a 92.
A STL (standard template library) da linguagem C++ disponibiliza o contêiner deque bem como recursos para a manipulação do mesmo, como push_back e push_front, que permitem inserir elementos no final ou no início do deque, respectivamente.
Provas
- Fundamentos de ProgramaçãoAlgoritmosConstrução de Algoritmos
- Fundamentos de ProgramaçãoEstruturas de DadosDefinição: Estrutura de Dados
- Fundamentos de ProgramaçãoEstruturas de DadosEstrutura de Dados: Tabela Hash
- Fundamentos de ProgramaçãoHashingFunções Hash
O desenvolvimento de aplicações que dependem de alto desempenho normalmente envolve a utilização de mecanismos e algoritmos eficientes. Dependendo do volume de dados envolvidos, a escolha de um algoritmo ineficiente pode ter sérias implicações, tanto no que se refere ao tempo de resposta como na qualidade da resposta obtida. Acerca desse assunto, bem como sobre as técnicas de construção de algoritmos e estruturas de dados e conceitos básicos sobre estruturas de dados, julgue os itens de 81 a 92.
Uma tabela hash permite que a posição de um elemento da tabela seja obtido por meio de uma função, chamada função hash. Entre as propriedades desejáveis de uma função hash, estão a velocidade no cálculo e a maximização da geração de sinônimos.
Provas
- Fundamentos de ProgramaçãoAlgoritmosAlgoritmos de Busca
- Fundamentos de ProgramaçãoAlgoritmosConstrução de Algoritmos
- Fundamentos de ProgramaçãoComplexidade
- Fundamentos de ProgramaçãoEstruturas de DadosDefinição: Estrutura de Dados
O desenvolvimento de aplicações que dependem de alto desempenho normalmente envolve a utilização de mecanismos e algoritmos eficientes. Dependendo do volume de dados envolvidos, a escolha de um algoritmo ineficiente pode ter sérias implicações, tanto no que se refere ao tempo de resposta como na qualidade da resposta obtida. Acerca desse assunto, bem como sobre as técnicas de construção de algoritmos e estruturas de dados e conceitos básicos sobre estruturas de dados, julgue os itens de 81 a 92.
Uma busca seqüencial que verifica cada item em uma lista contendo N elementos roda em 2(N/2) unidades de tempo, em média
Provas
- Fundamentos de ProgramaçãoAlgoritmosAvaliação de Expressões
- Fundamentos de ProgramaçãoAlgoritmosConstrução de Algoritmos
- Fundamentos de ProgramaçãoEstruturas de DadosDefinição: Estrutura de Dados
- Fundamentos de ProgramaçãoNotação Polonesa Reversa
O desenvolvimento de aplicações que dependem de alto desempenho normalmente envolve a utilização de mecanismos e algoritmos eficientes. Dependendo do volume de dados envolvidos, a escolha de um algoritmo ineficiente pode ter sérias implicações, tanto no que se refere ao tempo de resposta como na qualidade da resposta obtida. Acerca desse assunto, bem como sobre as técnicas de construção de algoritmos e estruturas de dados e conceitos básicos sobre estruturas de dados, julgue os itens de 81 a 92.
As notações prefixa e pós-fixa, também conhecidas como notação polonesa e notação polonesa reversa, respectivamente, são bastante utilizadas em sistemas computacionais. A avaliação da expressão 5 1 2 + 4 * 3- +, escrita na notação pós-fixa, corresponde ao valor 14.
Provas
- Fundamentos de ProgramaçãoAlgoritmosDefinição de Algoritmo
- Fundamentos de ProgramaçãoComplexidade
- Fundamentos de ProgramaçãoEstruturas de DadosDefinição: Estrutura de Dados
O desenvolvimento de aplicações que dependem de alto desempenho normalmente envolve a utilização de mecanismos e algoritmos eficientes. Dependendo do volume de dados envolvidos, a escolha de um algoritmo ineficiente pode ter sérias implicações, tanto no que se refere ao tempo de resposta como na qualidade da resposta obtida. Acerca desse assunto, bem como sobre as técnicas de construção de algoritmos e estruturas de dados e conceitos básicos sobre estruturas de dados, julgue os itens de 81 a 92.
A complexidade de um algoritmo é de suma importância na ciência da computação. Os algoritmos que possuem solução em tempo polinomial são ditos pertencentes à classe P. Os algoritmos que não pertencem a essa classe são chamados de algoritmos intratáveis.
Provas
O desenvolvimento de aplicações que dependem de alto desempenho normalmente envolve a utilização de mecanismos e algoritmos eficientes. Dependendo do volume de dados envolvidos, a escolha de um algoritmo ineficiente pode ter sérias implicações, tanto no que se refere ao tempo de resposta como na qualidade da resposta obtida. Acerca desse assunto, bem como sobre as técnicas de construção de algoritmos e estruturas de dados e conceitos básicos sobre estruturas de dados, julgue os itens de 81 a 92.
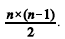
Um grafo completo é normalmente denotado por K n , em que n refere-se ao número de vértices contidos no grafo. O número de arestas em um grafo completo é dado pela fórmula 
Provas
- Fundamentos de ProgramaçãoAlgoritmosAlgoritmo de Dijkstra
- Fundamentos de ProgramaçãoGrafosAlgoritmos em Grafos
- Fundamentos de ProgramaçãoGrafosGrafos Ponderados
- Fundamentos de ProgramaçãoGrafosTeoria dos Grafos
O desenvolvimento de aplicações que dependem de alto desempenho normalmente envolve a utilização de mecanismos e algoritmos eficientes. Dependendo do volume de dados envolvidos, a escolha de um algoritmo ineficiente pode ter sérias implicações, tanto no que se refere ao tempo de resposta como na qualidade da resposta obtida. Acerca desse assunto, bem como sobre as técnicas de construção de algoritmos e estruturas de dados e conceitos básicos sobre estruturas de dados, julgue os itens de 81 a 92.
Dado um grafo ponderado, não disjunto, cujo peso das arestas pertence ao conjunto de números inteiros, é correto afirmar que o algoritmo de Dijkstra, também conhecido como algoritmo do caminho mínimo, permite encontrar a rota de menor custo.
Provas
Caderno Container