Foram encontradas 360 questões.
Um rolamento fixo de uma carreira de esferas está submetido a uma carga radial constante 4 kN e opera a uma rotação de 1800 rpm. Deseja-se que o mesmo tenha uma vida básica em horas equivalente a 667 dias. Assinale a alternativa que apresenta corretamente a capacidade de carga dinâmica do rolamento em questão:

Provas
Responda às questões de números 28 e 29 com base no enunciado abaixo.

Considerando os dados e o sistema da questão anterior, assinale a alternativa que corresponde à seção mais solicitada do eixo e2.

Provas
Responda às questões de números 28 e 29 com base no enunciado abaixo.

Provas
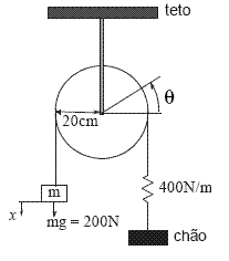
Considere o sistema massa-mola-roldana da figura abaixo:

Assume-se que o sistema é conservativo e que não haja atrito entre o cabo e a roldana, cujo momento de inércia em relação ao eixo de rotação é igual a 0,3 kg.m2. A ordenada x da massa m é medida a partir da posição em que se encontra em equilíbrio. Considere a aceleração gravitacional terrestre igual a 10m/s2 . Nestas condições, a freqüência natural,
em ciclos por segundo, vale :
Provas
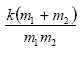
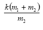
Considere um sistema mecânico simples onde duas massas m1 e m2 estão ligadas por uma mola de constante k, como mostra a figura abaixo:

Provas
Considere o sistema hidráulico da figura abaixo:

Provas

Provas
Uma viga de aço,
, de comprimento L e de secção transversal constante retangular, base 2cm por uma altura de 6cm, está engastada numa extremidade e carregada por uma força concentrada P de 200N, vertical de cima para baixo, na extremidade que está livre. Tendo a validade da hipótese de Euler-Bernoulli e supondo que não haja instabilidade lateral na viga, os valores mais próximos da força cortante e da tensão máxima de flexão na secção a 2m da sua extremidade livre são respectivamente:
Provas
Dada a equação de equilíbrio,

Provas
As seguintes declarações relativas a um ponto P interno a um corpo elástico deformável em equilíbrio são dadas:
I- Tensão no ponto P é um vetor quando o plano sobre a qual se deseja conhece-la é dado.
II- A tensão no ponto P é um tensor.
III-Conjunto das tensões que surgem nos inúmeros planos que passam por P é um estado de tensão.
Podemos afirmar que:
Provas
Caderno Container