Magna Concursos

Foram encontradas 70 questões.

610093 Ano: 2017
Disciplina: Matemática
Banca: FGV
Orgão: MPE-BA
Provas:

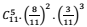
O Supremo Tribunal Federal é composto por 11 Ministros, sendo um Presidente. O histórico de decisões indica que, em questões de natureza política, 3 deles votam sempre da mesma forma, enquanto os outros de maneira contrária. Suponha que uma Turma de 5 juízes será selecionada ao acaso para a análise de uma questão do tipo já referido.

A probabilidade de que o resultado seja favorável à tese dos minoritários é igual a:

 

Provas

Questão presente nas seguintes provas
610092 Ano: 2017
Disciplina: Estatística
Banca: FGV
Orgão: MPE-BA
Provas:

Sejam duas populações, cujas variáveis de interesse, X e Y, são distribuídas normalmente e independentes entre si. O objetivo é testar se há ou não diferença significativa entre as médias. As informações disponíveis são:

enunciado 610092-1 = 17, Ȳ= 25, σ 2/x= 160,σ 2/Y=225, nx = 16 e ny = 15

⌀(1,28) = 0,9 , ⌀(1,64) = 0,95 e ⌀(1,96) = 0,975

Onde ⌀ é a função distribuição acumulada da normal padrão.

Então:

 

Provas

Questão presente nas seguintes provas
610091 Ano: 2017
Disciplina: Estatística
Banca: FGV
Orgão: MPE-BA
Provas:
Sobre a técnica de construção de intervalos de confiança, com relação às possibilidades de elaboração, sua correta aplicação e interpretação, é correto afirmar que:
 

Provas

Questão presente nas seguintes provas
610090 Ano: 2017
Disciplina: Matemática
Banca: FGV
Orgão: MPE-BA
Provas:

Suponha que 8 pessoas foram identificadas pelo Ministério Público como possíveis integrantes de uma ORCRIM. De acordo com a experiência dos procuradores, a probabilidade de que qualquer um deles esteja envolvido é de 0,75.

Assim sendo, é correto afirmar que:

 

Provas

Questão presente nas seguintes provas
610089 Ano: 2017
Disciplina: Estatística
Banca: FGV
Orgão: MPE-BA
Provas:

Sejam X, Y, W e Z variáveis aleatórias todas com distribuição normal-padrão, com X independente de Y e Y independente de Z. Já W é independente das demais.

Sobre algumas combinações dessas variáveis, é correto afirmar que:

 

Provas

Questão presente nas seguintes provas
610088 Ano: 2017
Disciplina: Estatística
Banca: FGV
Orgão: MPE-BA
Provas:

Um indivíduo tem sua prisão temporária decretada, por um prazo de uma semana. É possível que, durante ou mesmo ao final desse prazo, a prisão seja convertida em preventiva. Se assim for, o tempo de detenção torna-se uma variável aleatória com a seguinte função de probabilidades:

ƒT(t)= 0,02e-0,02t , para t > 0 e ZERO caso contrário

O indivíduo preso temporariamente pode, findo o prazo, ter sua prisão convertida em preventiva com probabilidade de 40%.

Assim, é correto afirmar que:

 

Provas

Questão presente nas seguintes provas
610087 Ano: 2017
Disciplina: Estatística
Banca: FGV
Orgão: MPE-BA
Provas:

O tempo para a tramitação de certo tipo de procedimento aberto pelo Ministério Público, em um dado instante, é uma variável aleatória com distribuição normal, tendo média igual de 10 meses e desvio-padrão de 3 meses. Um novo grupo de procuradores, recém-chegados à instituição, deve cuidar de alguns procedimentos, que serão sorteados dentre os que já têm mais de 7 meses de duração.

Sobre a função acumulada da normal são dados os valores:

⌀(1) = 0,80 , ⌀(1,5) = 0,92 e ⌀(2,0) = 0,98

Com tais informações, a probabilidade de que um procedimento com mais de 16 meses seja selecionado é igual a:

 

Provas

Questão presente nas seguintes provas
610086 Ano: 2017
Disciplina: Estatística
Banca: FGV
Orgão: MPE-BA
Provas:

O coeficiente de determinação (R2) e o desvio-padrão σ podem ser estimados através das estatísticas enunciado 610086-1 respectivamente. Contudo, esses estimadores tenderão a apresentar alguns problemas de tal forma que:

 

Provas

Questão presente nas seguintes provas
610085 Ano: 2017
Disciplina: Matemática
Banca: FGV
Orgão: MPE-BA
Provas:

A experiência mostra que a probabilidade de que diligências efetuadas pela Polícia Federal a pedido do MP sejam exitosas é de 0,60. Uma sequência de diligências será realizada, em vários endereços, até que provas contra um agente público, que está envolvido, sejam encontradas.

Sobre as operações, é fato que:

 

Provas

Questão presente nas seguintes provas
610084 Ano: 2017
Disciplina: Estatística
Banca: FGV
Orgão: MPE-BA
Provas:

Uma amostra deve ser selecionada de uma população com o objetivo de estimar a proporção de pessoas que apresentam uma determinada característica. Nas últimas três vezes que foi pesquisada, essa proporção ficou bem próxima de 40%, com intervalo de variação de 2%.

Nesses casos, para graus de confiança 68,26% (z = 1), 86,63% (z = 1,5) e 95,45% (z = 2), os tamanhos de amostras foram respectivamente:

 

Provas

Questão presente nas seguintes provas