Foram encontradas 50 questões.
São funções institucionais do Ministério Público,
exceto:
Provas
Questão presente nas seguintes provas
Sobre o Ministério Público na Constituição
da República Federativa do Brasil de 1988. assinale
a alternativa correta:
Provas
Questão presente nas seguintes provas
Ao Ministério Público, organizado em carreira,
é assegurada autonomia funcional, administrativa
e financeira, cabendo-lhe, especialmente:
Provas
Questão presente nas seguintes provas
A respeito dos deveres, das transgressões
disciplinares, das responsabilidades e das penalidades
previstas no Estatuto dos Servidores Civis
do Estado de Goiás (Lei Estadual n.
10.460/1988), assinale a alternativa INCORRETA:
Provas
Questão presente nas seguintes provas
Ainda conforme previsto no Estatuto dos
Servidores Civis do Estado de Goiás (Lei Estadual
n. 10.460/1988), são penas disciplinares,
EXCETO:
Provas
Questão presente nas seguintes provas
Dois irmãos moram juntos e costumam fazer
longas viagens em seus trabalhos. João é maquinista
de trem e fica sempre 20 dias fora de casa
a cada viagem, folgando no vigésimo primeiro
dia. Antônio é piloto de avião e ausenta-se de
sua casa por oito dias, tendo o nono dia para
descansar. Se ambos os irmãos iniciaram uma
viagem hoje, daqui a quantos dias eles poderão
encontrar-se em casa?
Provas
Questão presente nas seguintes provas
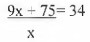
Assinale a alternativa com o resultado correto
da seguinte raiz da equação do 1° grau:


Provas
Questão presente nas seguintes provas
João possui três filhos: Ana, Thiago e Jorge.
Ao falecer, João deixou R$ 1.500.000,00 de herança
para seus filhos. O dinheiro deverá ser dividido
de forma diretamente proporcional à idade
de cada filho. A considerar que Ana está com
17, Thiago com 20 e Jorge com 23 anos, os filhos
respectivamente receberão:
Provas
Questão presente nas seguintes provas
Durante 90 dias, 12 operários constroem
uma loja. Quantos operários serão necessários
para fazer outra loja igual em 60 dias?
Provas
Questão presente nas seguintes provas
Joana foi trazer compras. Encontrou um vestido de 150 reais. Descobriu que se pagasse à vista teria um desconto de 35%. Depois de muito pensar, Joana pagou à vista o tal vestido.
Quanto ela pagou?
Provas
Questão presente nas seguintes provas
Cadernos
Caderno Container