Magna Concursos

Foram encontradas 50 questões.

842372 Ano: 2010
Disciplina: Engenharia Elétrica
Banca: FUNIVERSA
Orgão: MPE-GO
Provas:
A função de uma chave seccionada em uma subestação é a de
 

Provas

Questão presente nas seguintes provas
842371 Ano: 2010
Disciplina: Engenharia Elétrica
Banca: FUNIVERSA
Orgão: MPE-GO
Provas:
Para a determinação dos parâmetros do circuito equivalente de um motor de indução trifásico, são realizados ensaios em vazio e com o rotor bloqueado. Nesse caso, é correto afirmar que
 

Provas

Questão presente nas seguintes provas
842370 Ano: 2010
Disciplina: Engenharia Elétrica
Banca: FUNIVERSA
Orgão: MPE-GO
Provas:
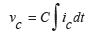
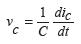
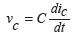
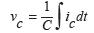
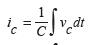
A fórmula matemática que representa a relação correta entre tensão enunciado 842370-1 e corrente enunciado 842370-2 em um capacitor de capacitância igual a C envolvendo o tempo t é
 

Provas

Questão presente nas seguintes provas
842369 Ano: 2010
Disciplina: Engenharia Elétrica
Banca: FUNIVERSA
Orgão: MPE-GO
Provas:
A equação que define determinada tensão no domínio do tempo vale v(t) = 311 * cos (377t + 10º). Considerando como módulo do fasor desta tensão o valor eficaz da tensão e o símbolo enunciado 842369-1" " como indicador do ângulo do fasor, a representação dessa tensão como fasor, é igual a, aproximadamente,
 

Provas

Questão presente nas seguintes provas
842368 Ano: 2010
Disciplina: Engenharia Elétrica
Banca: FUNIVERSA
Orgão: MPE-GO
Provas:
Três transformadores monofásicos com tensões nominais de 220/127 V e 5 kVA de potência cada são associados entre si para formar um banco trifásico de transformadores. O primário e lado de maior tensão é ligado em delta, e o secundário, em estrela. Nesse caso, é correto afirmar que o transformador trifásico resultante possui
 

Provas

Questão presente nas seguintes provas
842367 Ano: 2010
Disciplina: Engenharia Elétrica
Banca: FUNIVERSA
Orgão: MPE-GO
Provas:
Com relação aos teoremas de Thevenin e Norton, assinale a alternativa correta.
 

Provas

Questão presente nas seguintes provas
842366 Ano: 2010
Disciplina: Engenharia Elétrica
Banca: FUNIVERSA
Orgão: MPE-GO
Provas:
Dos tipos de lâmpadas listados a seguir, o que apresenta a maior eficiência luminosa é o da lâmpada
 

Provas

Questão presente nas seguintes provas
842365 Ano: 2010
Disciplina: Engenharia Elétrica
Banca: FUNIVERSA
Orgão: MPE-GO
Provas:
De acordo com o teorema da máxima transferência de potência, o valor da resistência que dissipa a máxima potência de um circuito linear deve ser
 

Provas

Questão presente nas seguintes provas
842364 Ano: 2010
Disciplina: Engenharia Elétrica
Banca: FUNIVERSA
Orgão: MPE-GO
Provas:
Com base na norma NBR 5410, o critério que não necessita ser atendido no dimensionamento da seção dos condutores é o da
 

Provas

Questão presente nas seguintes provas
842363 Ano: 2010
Disciplina: Engenharia Elétrica
Banca: FUNIVERSA
Orgão: MPE-GO
Provas:
O teorema da superposição auxilia na resolução matemática de circuitos elétricos que possuem diversas fontes. Uma condição necessária para que esse teorema possa ser aplicado é que o circuito
 

Provas

Questão presente nas seguintes provas