Magna Concursos

Foram encontradas 620 questões.

2686975 Ano: 2023
Disciplina: Estatística
Banca: Consulplan
Orgão: MPE-MG
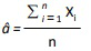
O teor de argila em solos é uma variável aleatória X, cuja função densidade de probabilidade é dada por:
f(x; a) = axa–1 , para a > 0 e 0 < x < 1.
Seja X1, X2, ..., Xn uma amostra aleatória de tamanho n e identicamente distribuída com densidade f(x; a). O estimador de máxima verossimilhança de a, representado por â, é:
 

Provas

Questão presente nas seguintes provas
2686974 Ano: 2023
Disciplina: Estatística
Banca: Consulplan
Orgão: MPE-MG
Na qualidade de analista judiciário surgiu uma situação a ser analisada sobre as variações de inflação coletadas e apuradas pelo índice IGPM com as variações da moeda estrangeira dólar que impacta diretamente na formação de preços de custos das mercadorias e serviços. Para tanto, considere o levantamento das variações nos últimos seis meses:
Enunciado 3202570-1


Assinale o valor da correlação linear entre as variações do IGPM e dólar no período analisado.
 

Provas

Questão presente nas seguintes provas
2686973 Ano: 2023
Disciplina: Estatística
Banca: Consulplan
Orgão: MPE-MG
Considerando as notas dadas aos alunos, coletadas em determinado município na disciplina de matemática, dadas de 0 a 10, obteve-se a seguinte distribuição a seguir:
Enunciado 3202569-1


De posse destes dados, assinale a nota média exata dos alunos, considerando a regra de Sturges, que se encontra mais próxima e exatamente nos 31% das notas proferidas.
 

Provas

Questão presente nas seguintes provas
2686972 Ano: 2023
Disciplina: Estatística
Banca: Consulplan
Orgão: MPE-MG
Considere que um pesquisador investigou em duas varas judiciais o número de processos distribuídos pelo delito “furto” ao longo de sete semanas:
Vara A = (5, 11, 0, 7, 9, 3, 1) Vara B = (15, 6, 4, 21, 0, 2, 8)
Diante do exposto, marque V para as afirmativas verdadeiras e F para as falsas.
( ) A moda na série de dados da Vara A é igual a 5. ( ) A mediana na série de dados da Vara B é igual a 4. ( ) A média da série de dados da Vara A é igual a 4. ( ) A média da série de dados da Vara A é igual a 7. ( ) A série de dados da Vara B não possui moda. ( ) A série de dados da Vara A tem menor variabilidade que os da Vara B. ( ) A série de dados da Vara B tem menor variabilidade que os da Vara A.
A sequência está correta em
 

Provas

Questão presente nas seguintes provas
2686971 Ano: 2023
Disciplina: Estatística
Banca: Consulplan
Orgão: MPE-MG
Determinado investidor de ações negociadas na bolsa de valores utiliza das probabilidades dos retornos esperados em três ativos, dados pelas ações A, B e C. Considere os retornos financeiros esperados dos ativos relacionados com suas probabilidades:
Enunciado 3202567-1


Assinale a esperança estatística do retorno dos investimentos do investidor, considerando as probabilidades associadas aos seus ativos.
 

Provas

Questão presente nas seguintes provas
2686970 Ano: 2023
Disciplina: Estatística
Banca: Consulplan
Orgão: MPE-MG
Levantamento em determinado período de tempo indicou que dois Ministros Promotores Públicos A e B são responsáveis por 60% e 40%, respectivamente, da produção processual em certa comarca onde atuam. Sabe-se que os índices de “processos investigativos sem conclusão” por eles equivalem a 3% e 7%, respectivamente. Assim, considerando que um processo inconclusivo foi selecionado ao acaso do rol de processos desta comarca neste determinado período de tempo, qual é a probabilidade de que tenha ocorrido com o Promotor B?
 

Provas

Questão presente nas seguintes provas
2686969 Ano: 2023
Disciplina: Estatística
Banca: Consulplan
Orgão: MPE-MG
Sabe-se que uma distribuição de dados pode ser simétrica ou assimétrica e que isso poderá contribuir para a análise detalhada do comportamento do estudo estatístico realizado. Assim, considerando uma designação pelo Ministro/Promotor, na qualidade de Auxiliar Judicial para levantar e calcular junto aos dados do sistema penal, considerando o número de prisões reincidentes por determinado delito (aquelas cometidas pela mesma pessoa n vezes) como variável x e a quantidade de vezes que este criminoso fora encarcerado em um determinado período de tempo. Tal levantamento tem por finalidade compreender o comportamento das reincidências de cometimento de crime para entender o comportamento da criminalidade nesta tipologia criminal. Sabedor disto, decidiu-se aplicar o coeficiente de Pearson sobre os dados levantados. Após os cálculos efetuados, assinale a classificação correta da simetria/assimetria dos dados considerados:
Enunciado 3202565-1
 

Provas

Questão presente nas seguintes provas
2614118 Ano: 2023
Disciplina: TI - Ciência de Dados e BI
Banca: Consulplan
Orgão: MPE-MG

As ferramentas OLAP (On-Line Analytical Processing) permitem ao usuário analisar o porquê dos resultados obtidos. Atualmente, existe disponível no mercado uma variedade dessas ferramentas com diferentes abordagens. As ferramentas OLAP, que possuem como característica principal permitir o acesso tanto aos bancos de dados relacionais quanto aos multidimensionais, são conhecidas como:

 

Provas

Questão presente nas seguintes provas
2614117 Ano: 2023
Disciplina: Ética
Banca: Consulplan
Orgão: MPE-MG

em sentido amplo é o estudo dos juízos de valor que dizem respeito à conduta humana suscetível de qualificação do ponto de vista do bem e do mal, seja relativamente à determinada sociedade, seja de modo absoluto. Tem como objeto de estudo uma forma adequada de comportamento humano que os homens julgam valiosa, necessária e obrigatória.” Assinale o termo técnico que completa corretamente a afirmativa anterior.

 

Provas

Questão presente nas seguintes provas
2614116 Ano: 2023
Disciplina: Ética e Regulação Profissional
Banca: Consulplan
Orgão: MPE-MG

Entre as modalidades de documentos psicológicos, os mais populares, por assim dizer, são os laudos e pareceres. Considerando a Resolução nº 6/2019 do Conselho Federal de Psicologia, que dispõe das instruções para elaboração e emissão de documentos psicológicos, assinale a afirmativa correta.

 

Provas

Questão presente nas seguintes provas