Foram encontradas 80 questões.

Provas
A tabela indica os salários dos empregados de uma empresa. Ao representar, em gráfico de setor, a classe modal dos salários dos funcionários, deve-se utilizar um ângulo, em graus, de:
| Salário (em reais) | Número de empregados |
| [800, 900[ | 4 |
| [900, 1 000[ | 10 |
| [1 000, 1 100[ | 18 |
| [1 100, 1 200[ | 5 |
| [1 200, 1 300] | 3 |
Provas
Considerando os dados descritos na " nuvem de pontos" do gráfico abaixo, o valor que mais se aproxima do coeficiente de correlação de Pearson é :

Provas
A durabilidade, em centenas de horas, de máquinas sem necessidade de manutenção é dada pela seguinte tabela.
| Duração (centenas de horas) | 0 |__ 4 | 4 |__ 8 | 8 |__ 12 | 12 |__ 16 | 16 |__ 20 |
| nº de máquinas | 4 | 12 | 40 | 41 | 27 |
De acordo com a tabela o ponto médio da classe mediana , em horas, é igual a:
Provas
Numa escola verificou-se que a altura média dos meninos é de 150 cm com variância de 10000 cm² , e a altura média das meninas 140 cm com variância de 8100 cm², pode-se dizer que o coeficiente de variação de Pearson entre as alturas dos meninos e meninas da escola é:
Provas
Uma empresa produz 2300 máquinas por mês, numeradas de 1 a 2300. O setor de qualidade necessita de uma mostra sistemática de 45 peças para teste. Sabendo que a 1- máquina selecionada foi a n° 14, e as próximas serão selecionadas em ordem crescente, então a sexta máquina selecionada será a de número:
Provas
Provas
Provas
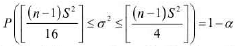
De uma população foi retirada uma amostra com distribuição normal ao nível de 95%. Se o intervalo de confiança para a variância é dado por:
a, então o intervalo de confiança para a variância populacional admitindo uma distribuição normal, n = 8, S² = 4, a = 0,05, com 95% de confiança será igual a:
Provas
Provas
Caderno Container