Foram encontradas 60 questões.
Provas
- Atos AdministrativosExtinção dos Atos Administrativos
- Controle da AdministraçãoControle da Administração: Conceitos, Princípios e Classificações
Provas
Considere as afirmações a seguir.
I. Maria é mãe de cinco crianças.
II. Três das cinco crianças de Maria têm olhos castanhos e duas delas têm olhos azuis.
III. Maria é mãe de mais meninas do que de meninos.
Se as três afirmações anteriores são verdadeiras, como consequência, pode-se deduzir que
Provas
Provas
Com fundamento nas disposições contidas no Provimento nº 79/2015, da Procuradoria-Geral de Justiça, assinale com V (verdadeiro) ou com F (falso) as seguintes afirmações.
( ) Constituem espécies de diligência, dentre outras: vistoria, condução coercitiva e pesquisa em sistemas informatizados.
( ) Ao executar a diligência deverá o servidor comparecer no endereço determinado por, no mínimo, 2 (duas) vezes, registrando cada tentativa no sistema informatizado da instituição.
( ) A notificação de cientificação de indeferimento de instauração de inquérito civil e a de cientificação de arquivamento de procedimento investigatório aos interessados que residam em outra comarca deverão ser enviadas, preferencialmente, por carta precatória a outra Promotoria de Justiça, a fim de que o secretário de diligências cumpra pessoalmente a notificação.
( ) O prazo para cumprimento da diligência classificada como prioritária é de até 3 (três) dias úteis.
( ) A realização de diligências fora do horário de expediente independe de autorização prévia pelo Promotor de Justiça ou pelo Coordenador da Central de Diligências e Atendimento ao Cidadão.
Provas
Provas
Dado um número natural n qualquer, considere as afirmações a seguir.
I. 2n é número par.
II. n2 é divisível por 2.
III. n/2 é número natural.
IV. n +1 é numero ímpar.
Quais afirmações são verdadeiras?
Provas
De acordo com essa regra, o maior número de pessoas diferentes que podem retirar palitos do copo é
Provas
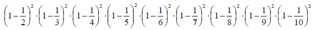
é igual a
Provas
Instrução: A questão seguinte está relacionada ao texto abaixo.

( ) O ponto final da linha 3 poderia ser substituído por ponto-e-vírgula, desconsiderando-se o uso de inicial maiúscula ou minúscula. ( ) Seria possível inserir uma vírgula depois de culturais (l. 5). ( ) O travessão colocado depois de sociais (l. 5) poderia ser substituído por ponto final, desconsiderando-se o uso de inicial maiúscula ou minúscula. ( ) As vírgulas colocadas antes e depois da sequência por outro (l. 8) poderiam ser suprimidas.
A sequência correta de preenchimento dos parênteses, de cima para baixo, é
Provas
Caderno Container