Foram encontradas 130 questões.
Uma variável aleatória contínua, x, tem função densidade de probabilidade igual a: f(x) = 2x, para 0 < x < 1 e f(x) = 0 para qualquer outro valor de x que estiver fora deste intervalo. Assim, pode-se afirmar que
Provas
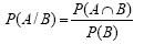
O Teorema de Bayes diz que, para dois eventos independentes, A e B, com probabilidades não nulas, tem-se que
![]()
onde, P(A/B) é a probabilidade de ocorrer o evento A, sabendo-se que o evento B já ocorreu. Desse modo pode-se afirmar que
Provas
Dois novos tipos de vacina contra determinada doença estão sendo testados: a vacina do tipo A e a vacina do tipo B. Esses dois tipos de vacinas foram aplicados em uma população de voluntários. Sabe-se que 60 % dos voluntários receberam vacina do tipo A e 40% dos voluntários restantes receberam vacina do tipo B. Sabe-se, também, que a vacina do tipo A fornece 70% de imunização e a do tipo B fornece 80% de imunização. Assim, a probabilidade de uma pessoa, escolhida ao acaso, estar imunizada dado que lhe foi aplicada a vacina do tipo A é igual a
Provas
Com a seguinte função de probabilidade conjunta, onde x assume os valores 0 e 1, e y assume os valores, 1, 2 e 3,

pode-se afirmar que
Provas
A tabela mostra a distribuição de freqüências relativas populacionais (f') de uma variável X:

Sabendo que "a" é um número real, então, a variância de X é igual a
Provas
Ana participou de um concurso e aguarda com ansiedade os resultados das provas que acabou de fazer. Ana estima em 80% a probabilidade de obter conceito A em Estatística, em 40% a probabilidade de obter conceito A em Raciocínio Lógico, e em 36% a probabilidade de obter conceito A em Estatística e Raciocínio Lógico. Hoje, Ana recebeu o resultado da prova de Raciocínio Lógico e verificou que não tirou conceito A. Assim, a probabilidade de Ana também tirar conceito A em Estatística é igual a
Provas
Sabe-se que a probabilidade de uma variável, com distribuição normal com média zero e variância igual a um, estar no intervalo (μ ± 1,64 σ) é igual a 90%. Uma amostra de tamanho 144 forneceu os valores 20 e 36 para as estimativas da média e da variância populacional, respectivamente. Assim, o intervalo com 90% de confi ança para a média desta população é dado por
Provas
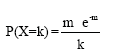
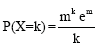
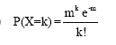
Uma variável aleatória X tem distribuição de Poisson, com parâmetro "m", e k = 0, 1, 2, 3...... se e somente se
Provas
Um experimento binomial é um experimento que comporta um número fixo de provas independentes, n. Cada prova tem os resultados classificados em apenas duas categorias, a saber: sucesso ou fracasso. Muito embora essa classificação seja arbitrária, costuma-se denotar a probabilidade de sucesso por p, e a probabilidade de fracasso por q. Desse modo, realizando-se 50 provas, a probabilidade de se obter 30 sucessos é dada por
Provas
Suzana e Sandra jogam, cada uma, uma moeda. Se do lançamento dessas duas moedas resultar duas caras, Suzana paga a Sandra R$ 6,00. Dando qualquer outro resultado, Sandra paga a Suzana R$ 4,00. Supondo que ambas as moedas sejam estatisticamente honestas, o valor esperado, em reais, dos ganhos de Sandra (considerando- se como ganhos negativos os valores que ela paga à Suzana) é igual a
Provas
Caderno Container