Foram encontradas 120 questões.
625092
Ano: 2013
Disciplina: Engenharia Eletrônica
Banca: CESPE / CEBRASPE
Orgão: Min. Saúde
Disciplina: Engenharia Eletrônica
Banca: CESPE / CEBRASPE
Orgão: Min. Saúde
Provas:

Com base nessas informações, julgue os itens subsequentes.
Provas
Questão presente nas seguintes provas
625091
Ano: 2013
Disciplina: Engenharia Eletrônica
Banca: CESPE / CEBRASPE
Orgão: Min. Saúde
Disciplina: Engenharia Eletrônica
Banca: CESPE / CEBRASPE
Orgão: Min. Saúde
Provas:
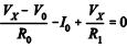
Julgue os itens que se seguem a respeito de microcomputadores.
No processamento de um conjunto de dados, o uso de pipelining pelo processador visa reduzir o tempo decorrido entre o início da leitura de uma instrução e o fim da execução da mesma.Provas
Questão presente nas seguintes provas
625090
Ano: 2013
Disciplina: Engenharia Eletrônica
Banca: CESPE / CEBRASPE
Orgão: Min. Saúde
Disciplina: Engenharia Eletrônica
Banca: CESPE / CEBRASPE
Orgão: Min. Saúde
Provas:

Com base nessas informações, julgue os itens subsequentes.

Provas
Questão presente nas seguintes provas
- Instalações ElétricasEquipamentos em Média Tensão
- Proteção de Sistemas ElétricosProteção em Média Tensão
- Sistemas Elétricos de PotênciaDistribuição de Energia Elétrica

Com base na figura acima, que ilustra o diagrama unifilar de um sistema elétrico de potência, julgue os itens seguintes.
Provas
Questão presente nas seguintes provas

Com base nessas informações, julgue os itens a seguir.
Provas
Questão presente nas seguintes provas

Com base nessas informações, julgue os itens a seguir.
Provas
Questão presente nas seguintes provas

Tendo como referência a situação hipotética descrita acima, julgue os itens subsequentes, com base na legislação profissional relacionada ao sistema CONFEA-CREA.
Provas
Questão presente nas seguintes provas
- Transformadores e Máquinas ElétricasMáquinas EstáticasTransformador de Corrente
- Transformadores e Máquinas ElétricasMáquinas EstáticasTransformador de Potência

Com base na figura acima, que ilustra o diagrama unifilar de um sistema elétrico de potência, julgue os itens seguintes.
Provas
Questão presente nas seguintes provas
A respeito de fiscalização de obras e serviços de engenharia, julgue os itens subsequentes.
Para agilizar o desenvolvimento da obra ou serviço, a comunicação entre a contratada e a fiscalização deve ser realizada de maneira informal.Provas
Questão presente nas seguintes provas
Acerca dos princípios de eletromagnetismo, julgue os próximos itens.
As ondas transversais eletromagnéticas (TEM) são aquelas em que tanto o campo elétrico quanto o campo magnético possuem componente não nula na direção de propagação.Provas
Questão presente nas seguintes provas
Cadernos
Caderno Container